Follow Us!!:

アプリなら、たくさんの便利な機能が無料で使える!
今すぐアプリをダウンロードして、もっと自由に学ぼう!

履歴の確認
お気に入り・フォローの登録
通知の受け取り
ファイルの作成・追加・複製
メモの作成・確認
モチベボードの投稿
App StoreからダウンロードGoogle Playで手に入れよう
運営会社お問い合わせ利用規約プライバシーポリシー
YouTube利用規約

© 2025, okke, Inc.

覚えたら消す!!115コンテンツを保存済み

点と直線の距離
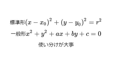
円の方程式
180°関係
三角比の公式
代表的な三角比の値
90°関係
3乗公式
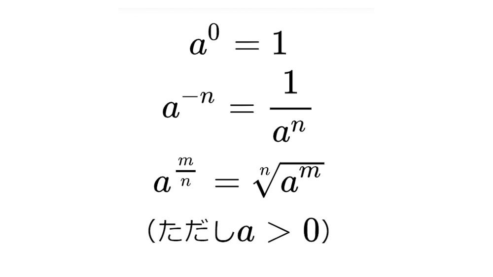
指数法則
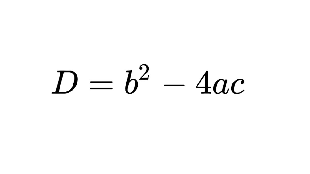
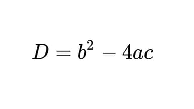
判別式
必要条件
十分条件
ド・モルガンの法則
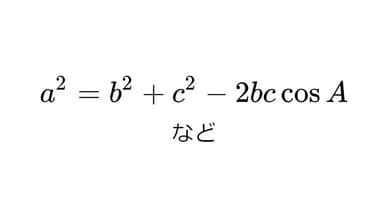
余弦定理
三角形の面積
三角形の面積
ヘロンの公式
中線定理
角の二等分線
標準偏差
標準偏差
分散
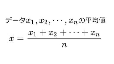
平均値
共分散
重心
内心
内接円の半径
メネラウスの定理
オイラーの多面体定理
チェバの定理
トレミーの定理
方べきの定理
接弦定理
傍心
期待値
期待値
円順列
同じものを含む順列
重複組み合わせ
重複組み合わせ
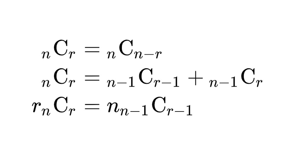
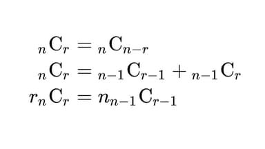
Cの性質
重複順列
反復試行
条件付き確率
虚数
複素数の相等条件
複素数の相等条件
有理数解の定理
二項定理
比例式
因数定理
媒介変数表示
2つの円の交点を通る円・直線
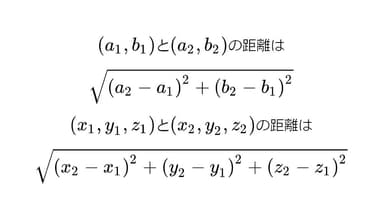
2点間の距離
円と直線の共有点
2直線の平行条件
2直線の垂直条件
重心の座標
外分点の座標
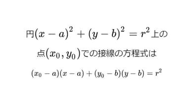
円の接線公式
円の接線公式
内分点の座標
直線束
直線束
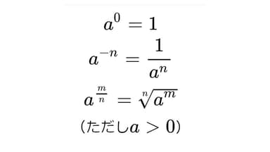
指数の拡張
底の変換公式
半角の公式
2倍角の公式
合成
3倍角の公式
加法定理
和積公式
積和公式
xのn乗の積分
偶関数の積分
奇関数の積分
1次式のn乗の積分
1次式のn乗の導関数
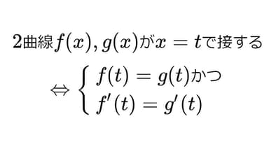
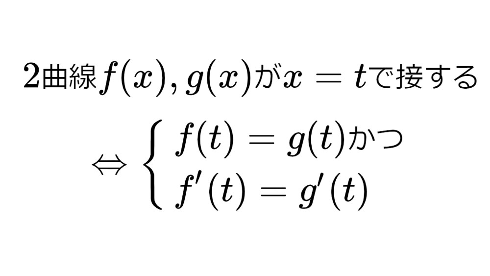
曲線が接する
微分係数
放物線の面積公式
xのn乗の導関数
導関数
接線の方程式
連続整数の積のシグマ
等差数列×等比数列の形の数列
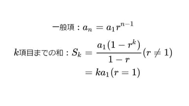
等比数列
シグマ
三項間漸化式
二項間漸化式
等差数列
部分分数分解
確率変数の変換
部分分数分解
確率変数の変換
仮説検定
標本比率の分布
標準化
二項分布
標本平均の分布
独立な確率変数
同一平面上にある条件
正射影ベクトル
同一直線上にある条件
分点公式
単位ベクトル
共線条件
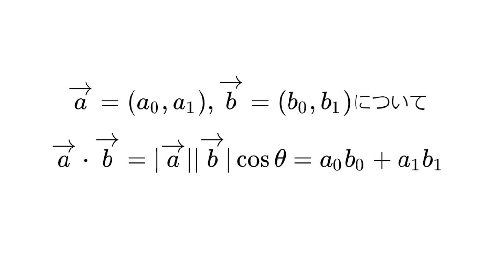
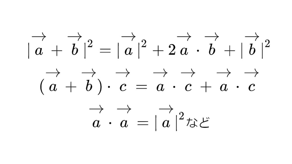
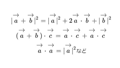
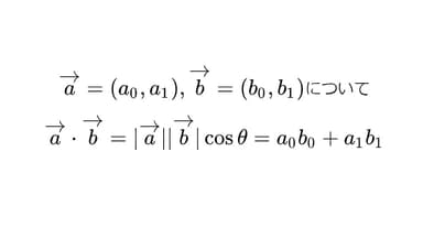
内積の計算公式
内積
離心率
円の媒介変数表示
二次曲線の極方程式
複素数の絶対値
虚部の求め方
極形式
ド・モアブルの定理