Follow Us!!:

アプリなら、たくさんの便利な機能が無料で使える!
今すぐアプリをダウンロードして、もっと自由に学ぼう!

履歴の確認
お気に入り・フォローの登録
通知の受け取り
ファイルの作成・追加・複製
メモの作成・確認
モチベボードの投稿
App StoreからダウンロードGoogle Playで手に入れよう
運営会社お問い合わせ利用規約プライバシーポリシー
YouTube利用規約

© 2025, okke, Inc.

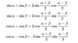
積和公式

概要

や 同士の積は、下の積和公式により、和や差の形に変換できる。三角関数で、公式がすでにたくさん出てきて疲れたところに登場するので、これでKOされる人も多い。

Extra close brace or missing open brace \begin{align} \sin \alpha \ \sin \beta &=-\frac{1}{2}{\cos(\alpha +\beta )-\cos(\alpha -\beta )}\\ \sin \alpha \ \cos \beta &=\frac{1}{2}\sin(\alpha +\beta )+\sin(\alpha -\beta )}\\ \cos \alpha \ \sin \beta &=\frac{1}{2}{\sin(\alpha +\beta )-\sin(\alpha -\beta )}\\ \cos \alpha \ \cos \beta &=\frac{1}{2}{\cos(\alpha +\beta )+\cos(\alpha -\beta )} \end{align}

証明

右辺を加法定理で展開すると左辺になる。

大事なのは、この式の作り方で、たとえば の場合を考えると、

  • この形が出てくる加法定理( か か)を思い出す(例:この場合は の加法定理に登場する)
  • と を組み合わせて、 だけにできないか考える(例:この場合は と引き算すれば、余計な の項が消える)
  • 最後に、係数や符号を調整する(例:この場合は、 に を掛ければ、 になる)

と導出できる。他の つについても同様に計算できる。

補足

  • 上の作り方を頭に入れておけば、覚える必要はなくなる
  • 大事なのは、 や の積の形が、和や差の形に変換できるということ
  • 和や差に変換できて何が嬉しいかというと、 次数が 次式から 次式に落とせて、たとえば積分などが楽になる
  • 上の公式は と という、違う角度での積に使える。角度が同じ場合、つまり や は半角の公式で、 は ( の 倍角の公式の変形)で次数を落とせる。

タグ

この用語を含むファイル

数学公式

72コンテンツを保存済み

覚えたら消す!!

115コンテンツを保存済み

数学

11コンテンツを保存済み

2-1-中間

9コンテンツを保存済み

数学 復習

6コンテンツを保存済み

関連動画

28:23
三角関数の公式の「使い方」(明日から使える式変形④)【深掘り高校数学】ぶおとこばってん
5:50
【10-4】「加法定理」からいろいろな公式を導く!【再生リスト】で気になる単元を確認してね!予備校2.0
20:54
【数学】受験生がつまずき易いポイント解説②「三角関数」|東大理三講師30名超集団(株)合格の天使東大理三合格講師30名超「専属契約講師」集団 医学部 難関大合格へ導く合格の天使
34:47
覚える公式一覧・数学2B編(東大医学部の解説動画)ガチでノビる受験数学 東大医学部の解説動画
26:44
三角関数の公式のコツ・三角方程式|三角関数の頻出問題①【良問 67/100】ぶおとこばってん

関連用語

和積公式
半角の公式
加法定理
三角関数の積分
2倍角の公式