Follow Us!!:

アプリなら、たくさんの便利な機能が無料で使える!
今すぐアプリをダウンロードして、もっと自由に学ぼう!

履歴の確認
お気に入り・フォローの登録
通知の受け取り
ファイルの作成・追加・複製
メモの作成・確認
モチベボードの投稿
App StoreからダウンロードGoogle Playで手に入れよう
運営会社お問い合わせ利用規約プライバシーポリシー
YouTube利用規約

© 2025, okke, Inc.

三角関数の積分

概要

基本的なものは頭に入れて、応用させていくに尽きる。

右辺の三角関数を微分すると左辺になることから、これらの積分公式が成り立つことがわかる。

三角関数を積分するときは、とにかく 「次数を下げる」「積から和に持っていく」 ことが大事になることが多い。その時には、半角の公式や積和公式が役に立つ。

例

は積分定数。微分して元に戻るかを常に気にしながら計算するのが大事。

補足

積分の中身に、合成関数の微分の形が潜んでいることに気づくと、早く解けることもある。例えば、

など。詳しくは、「合成関数の積分」の辞書を確認しよう。

また、下の積分計算も公式として押さえておこう。たまに出てくる。

微分して確かめてみよう!

タグ

この用語を含むファイル

微分積分

8コンテンツを保存済み

数学

8コンテンツを保存済み

関連動画

28:23
三角関数の公式の「使い方」(明日から使える式変形④)【深掘り高校数学】ぶおとこばってん
16:36
【入試数学(基礎)】積分法3 三角関数の積分「ただよび」理系チャンネル
8:25
2020 横浜国立 数Ⅲ 積分 良問で学ぶ高校数学part15 #131ぱた/高校数学
16:13
【受験数学♯108】(数Ⅲ)積分計算⑦ ~三角関数~AKITOの勉強チャンネル
14:59
【数Ⅲ-175】曲線の長さ②(媒介変数表示編)とある男が授業をしてみた

関連用語

三角関数の導関数
半角の公式
積和公式
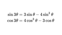
3倍角の公式
2倍角の公式