Follow Us!!:

アプリなら、たくさんの便利な機能が無料で使える!
今すぐアプリをダウンロードして、もっと自由に学ぼう!

履歴の確認
お気に入り・フォローの登録
通知の受け取り
ファイルの作成・追加・複製
メモの作成・確認
モチベボードの投稿
App StoreからダウンロードGoogle Playで手に入れよう
運営会社お問い合わせ利用規約プライバシーポリシー
YouTube利用規約

© 2025, okke, Inc.

微分積分8コンテンツを保存済み

三角関数の積分
三角関数の導関数
半角の公式
置換積分
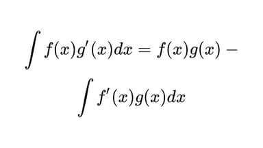
部分積分
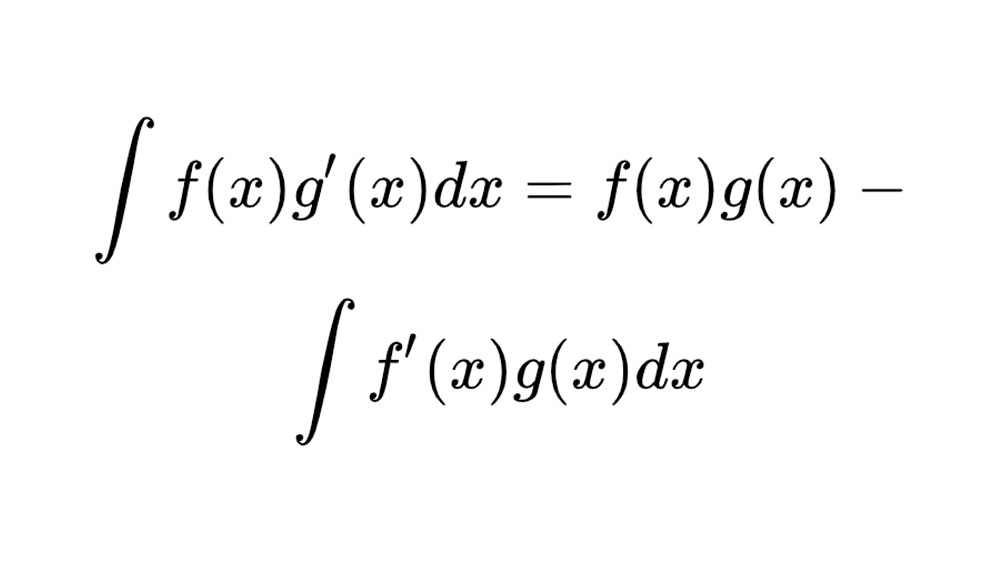
部分積分
部分分数分解
因数定理