置換積分
概要
置換積分とは、一見めんどくさそうな積分を、文字を置き換えることで解きやすくすること。
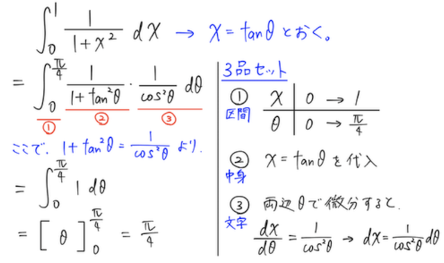
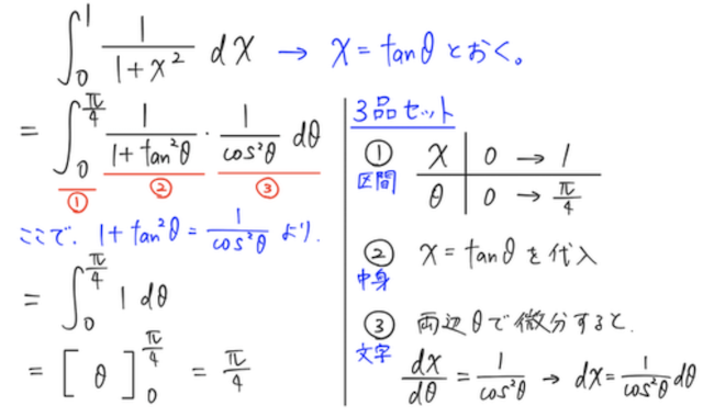
積分区間、積分の中身、積分する文字の3品セットをそろえることがとても大事。下の例で確認しよう。
一番忘れられやすいのは、積分区間の置換(不定積分の場合は不要)。忘れると確実に答えがずれるので、注意が必要。
例
①累乗の中身を丸ごと置換

②

補足
置換積分には、頻出のパターンが存在する。
-
ルートの中身を丸ごと置換
-
ルートごと置換
-
累乗の中身を丸ごと置換
-
が分母にあるときは、 と置換 -
があるときは、 と置換
タグ
# 三角比の公式
# 三角関数の導関数
# 三角関数の積分
# 置換積分
# sinで置換
# tanで置換
