掛け算の形の関数の積分については、部分積分という方法が有効なことがある。これは、積分できる関数の幅をグッと広げてくれる。
見方としては、
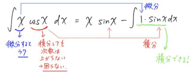
なので、元の関数の掛け算の形から、 微分した方が計算しやすいものと、 積分されても困らないもの(形が変わらない、次数が上がらない、など)、に分ける必要がある。
言葉ではよくわからないと思うので、例とイメージで確認する。
また、実際に問題を解く上では、定積分での部分積分の公式がよく登場して、
と計算できる。使い方などは、不定積分の場合と全く同じなので、ここでは、不定積分の部分積分について取り上げる。

思い出せなくて困ったら、 積の微分の形からすぐに作れる。
を変形すると、
この両辺を
となる。これを整理すると、
と部分積分の形が出てくる。
大まかな方針としては、
と考えて部分積分するケースが多い。ただし、三角関数×指数関数の形の積分になると、どちらかが微分される役に回り、同型出現を狙う発想が重要になる。詳しく学びたい方は、例えば林俊介さんの証明+例題動画を参照しよう。
この用語を含むファイル
関連動画