Follow Us!!:

アプリなら、たくさんの便利な機能が無料で使える!
今すぐアプリをダウンロードして、もっと自由に学ぼう!

履歴の確認
お気に入り・フォローの登録
通知の受け取り
ファイルの作成・追加・複製
メモの作成・確認
モチベボードの投稿
App StoreからダウンロードGoogle Playで手に入れよう
運営会社お問い合わせ利用規約プライバシーポリシー
YouTube利用規約

© 2025, okke, Inc.

合成関数の微分

概要

数学IIIの微分の分野で、めちゃめちゃよく使うのが、この 「合成関数の微分」 と言われる式。

つまり、関数の中に何かしらの の式が入っているときに、その式をまるごと文字と見て、その文字で微分し、その固まりの での微分を最後にかけるという式。

これは公式を文字で覚えても全く使えないので、例と図で確認して、寝ながらでもできるようになろう。

例

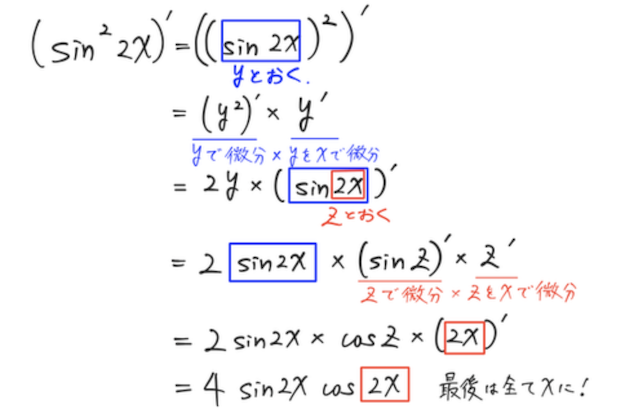
詳しくは、

スクリーンショット 00071104 20.37.20.png

少しレベルを上げよう。

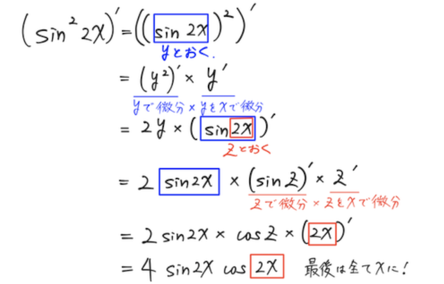
詳しくは、

スクリーンショット 00071104 20.37.34.png

証明

導関数の定義から考える。

となり示される。

(この証明では、 を暗に仮定している。こういう仮定の存在しないカッチリとした証明については、例えばこちらの式変形チャンネルさんの動画をチェック。)

補足

関数が何重にもなっているときは、例でわかる通り、 より外側にある固まりからまとめていくのが良い作戦。

タグ

この用語を含むファイル

数学

1コンテンツを保存済み

数学公式 微分

13コンテンツを保存済み

関連動画

26:14
基本導入編 微分法の基礎(数学Ⅱ範囲)広瀬のほぼ毎日高校数学
12:40
1次式のn乗の微分[今週の定理・公式No.27]Masaki Koga [数学解説]
5:52
微分公式(三角関数)【数Ⅲ 微分法】現大手予備校講師の5分でわかる!高校数学高瀬の高校数学攻略チャンネル【大手予備校講師】
2:15:07
【微積分の理論】第2回「微分公式の証明」つっきー
8:32
【高校数学】数Ⅲ-102 指数関数の導関数②とある男が授業をしてみた

関連用語

1次式のn乗の導関数
三角関数の導関数
合成関数の積分
1次式のn乗の積分
指数関数の導関数