Follow Us!!:

アプリなら、たくさんの便利な機能が無料で使える!
今すぐアプリをダウンロードして、もっと自由に学ぼう!

履歴の確認
お気に入り・フォローの登録
通知の受け取り
ファイルの作成・追加・複製
メモの作成・確認
モチベボードの投稿
App StoreからダウンロードGoogle Playで手に入れよう
運営会社お問い合わせ利用規約プライバシーポリシー
YouTube利用規約

© 2025, okke, Inc.

つっきー

【微積分の理論】第2回「微分公式の証明」

概要

動画投稿日|2023年3月25日

動画の長さ|2:15:08

数学IIIの微積分の全体像を概観する授業です.全5回で,春休み中に視聴できるように順次公開する予定なので,ぜひお楽しみください. 扱う内容はJUKEN7から配信している『標準*数学III』の第2章とだいたい同じで,YouTubeで公開するのはここまでです.この先は『標準*数学III』を受講していただければ幸いです. 微積分の計算がまだ身に付いていない人は,こちらを先にどうぞ:https://tsukki-math.com/463/

タグ

#高3#レベル2#関数と極限#微分(数Ⅲ)#講義

関連動画

21:50
【受験数学演習#31】(数Ⅲ)微分計算AKITOの勉強チャンネル
8:32
【高校数学】数Ⅲ-102 指数関数の導関数②とある男が授業をしてみた
29:32
中央大2020微分 3次関数と直線の交点鈴木貫太郎
26:10
微分法①【微分法】数学力向上チャンネル
12:00
【対数微分法】、媒介変数の2階微分(d/dxの利用方法)数学力向上チャンネル

関連用語

三角関数の導関数
導関数
指数関数の導関数
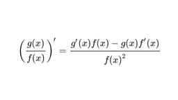
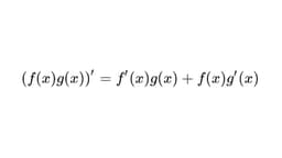
積の微分
x分のsinxの極限