Follow Us!!:

アプリなら、たくさんの便利な機能が無料で使える!
今すぐアプリをダウンロードして、もっと自由に学ぼう!

履歴の確認
お気に入り・フォローの登録
通知の受け取り
ファイルの作成・追加・複製
メモの作成・確認
モチベボードの投稿
App StoreからダウンロードGoogle Playで手に入れよう
運営会社お問い合わせ利用規約プライバシーポリシー
YouTube利用規約

© 2025, okke, Inc.

数学力向上チャンネル

【対数微分法】、媒介変数の2階微分(d/dxの利用方法)

次の動画:三角関数の積分で特殊な置換

概要

動画投稿日|2020年2月26日

動画の長さ|12:00

d/dxを正しく使えているだろうか。これを攻略して微分計算は完全にマスターしよう。 【関連動画】 微分計算 :https://youtu.be/3SX3lEc9UyM 【講師紹介】 大学卒業と共に教育業界に入り初めは塾に就職するも授業以外の業務が多く、このままでは自分よりキャリアのある予備校講師には勝てないと思い、一年で退社し予備校講師として15年以上大手総合予備校、医学部予備校などで数学の指導を行ってきた。 生徒の合格実績は、東大、京大、東工大、一橋、大阪大、名古屋大、東北大、他旧帝大、東京医科歯科大、横浜市立大医学部、北海道大学医学部、他国立医学部・歯学部。慶応、早稲田、上智、東京理科大、MARCH、慈恵医科大、順天堂医学部、日本医科大、他私立医学部など他多数。 某入試過去問題の解答執筆、学研MY GAK数学全講義担当、センター試験対策問題集出版、学研プライム講座医学部対策講座担当、過去問解説講座東大担当、センター試験対策講座担当、早慶入試問題解答速報:理学部、総合政策、教育学部他多数担当。 数学の指導方針は、本質的に意味を知り理解することで様々な問題に対応する力を養成していく。そして教えたことを生徒が使えるかどうかも自分の責任であると考える。教えたものを生徒が使えないのは、生徒の能力ではなく、講師の能力なのだ! 数学の勉強方法、指導方法は単元によって全く異なる。例えば確率や数列は問題文に与えられた情報を正しく読み取り、それを具体化して目で見てわかる状態を作ることによりそこにある規則性を見抜かなければならない。そのためにどのような具体化が規則性を見抜くために有効なのか、規則性を理由するときにミスしやすいポイントが何なのかを的確に指導。そしてそれを訓練することで実践的な力を養っていく。ところがベクトルの勉強方法はそれとはまったく異なる。ベクトルとは図形を見ずに、何も考えないで図形を処理することが出来る画期的な学問なのだ。ではなぜそんな解き方が出来るのか?それはベクトルにはやるべき作業が4つしかない。その作業をすれば勝手に比が求まり、角度が求まる。それがベクトルという学門なのだ。また最大値・最小値を求める問題では実は解法の作り方は7パターンしかない。その7パターンを徹底的に使う訓練をすれば、最大値・最小値の問題で解けないということはなくなるのだ。 このように同じ数学でも、単元、問題のタイプによって勉強方法はまるで違うのだ。それを的確に指導することで生徒の成績は信じられないほど伸びるのだ。先生に出会うまで”数学は嫌いでした”、”全くできませんでした”。でも授業を受けてから”好きになりました”、”驚くほど成績が伸びました”という生徒は数知れず。本気で自分の講義をしっかり復習し、授業を再現できるようにした生徒で成績が著しく伸びなかった者はいない。 【Twitterアカウント】   及川豪人 https://twitter.com/vcxk11

タグ

#高3#レベル3#微分(数Ⅲ)#演習

この動画を含むファイル

微分

12コンテンツを保存済み

数三

26コンテンツを保存済み

関連動画

21:50
【受験数学演習#31】(数Ⅲ)微分計算AKITOの勉強チャンネル
26:10
微分法①【微分法】数学力向上チャンネル
2:15:08
【微積分の理論】第2回「微分公式の証明」つっきー
14:16
【受験数学♯55】(数Ⅲ)対数の利用(極限・微分)AKITOの勉強チャンネル
17:42
【ゼロから数学】微分法6 導関数の計算の応用「ただよび」理系チャンネル

関連用語

三角関数の導関数
指数関数の導関数
xのp乗の導関数
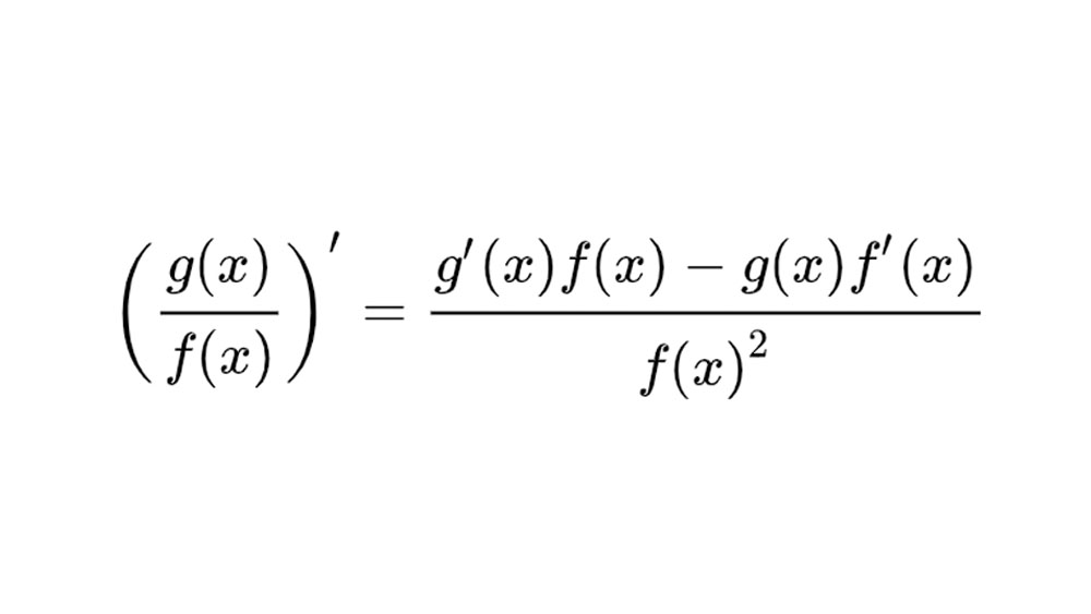
商の微分
合成関数の微分