Follow Us!!:

アプリなら、たくさんの便利な機能が無料で使える!
今すぐアプリをダウンロードして、もっと自由に学ぼう!

履歴の確認
お気に入り・フォローの登録
通知の受け取り
ファイルの作成・追加・複製
メモの作成・確認
モチベボードの投稿
App StoreからダウンロードGoogle Playで手に入れよう
運営会社お問い合わせ利用規約プライバシーポリシー
YouTube利用規約

© 2025, okke, Inc.

商の微分

概要

関数の分数になっている式を丸ごと微分すると、分母の2乗分の、分子の微分 × 分母そのまま - 分子そのまま × 分母の微分、という形になる。

魔法のように唱えよう。

例

※三角関数の導関数の辞書はこちらから

証明

導関数の定義に従って、まずは

を証明する。

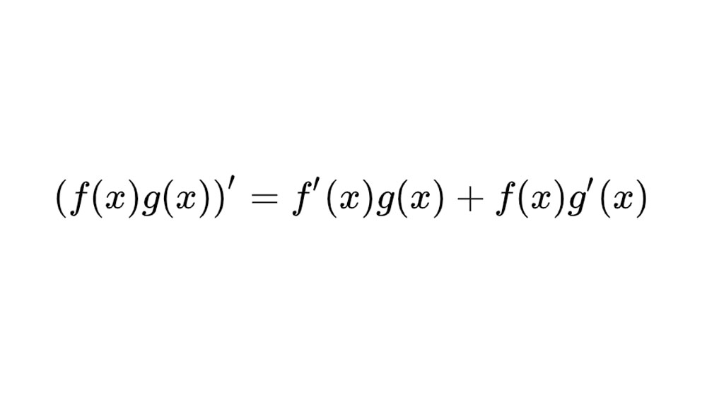
となり、示される。これと積の微分を用いると、

と商の微分が示される。(「積の微分」はこちらから確認できる)

補足

よく出てくるので、顔を洗う感覚で使えるようになることが大事。分母を二乗することと、分子の符号と、分子を先に微分する点に注意。

タグ

この用語を含むファイル

数学公式 微分

13コンテンツを保存済み

関連動画

2:15:07
【微積分の理論】第2回「微分公式の証明」つっきー
8:32
【高校数学】数Ⅲ-102 指数関数の導関数②とある男が授業をしてみた
21:50
【受験数学演習#31】(数Ⅲ)微分計算AKITOの勉強チャンネル
20:58
【高校数Ⅲ】微分法② 積・商の導関数「ただよび」理系チャンネル
3:40
積の微分、商の微分公式を証明せよ!【高校数学】数Ⅲ 微分法shadow先生【授業で学ばない数学解説】

関連用語

積の微分
三角関数の導関数
合成関数の微分
導関数
xのn乗の導関数