Follow Us!!:

アプリなら、たくさんの便利な機能が無料で使える!
今すぐアプリをダウンロードして、もっと自由に学ぼう!

履歴の確認
お気に入り・フォローの登録
通知の受け取り
ファイルの作成・追加・複製
メモの作成・確認
モチベボードの投稿
App StoreからダウンロードGoogle Playで手に入れよう
運営会社お問い合わせ利用規約プライバシーポリシー
YouTube利用規約

© 2025, okke, Inc.

数学公式 微分13コンテンツを保存済み

1次式のn乗の導関数
微分係数
曲線が接する
xのp乗の導関数
導関数
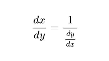
逆関数の導関数
合成関数の微分
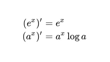
指数関数の導関数
接線の方程式
三角関数の導関数
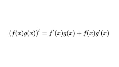
積の微分
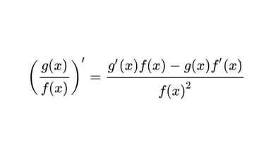
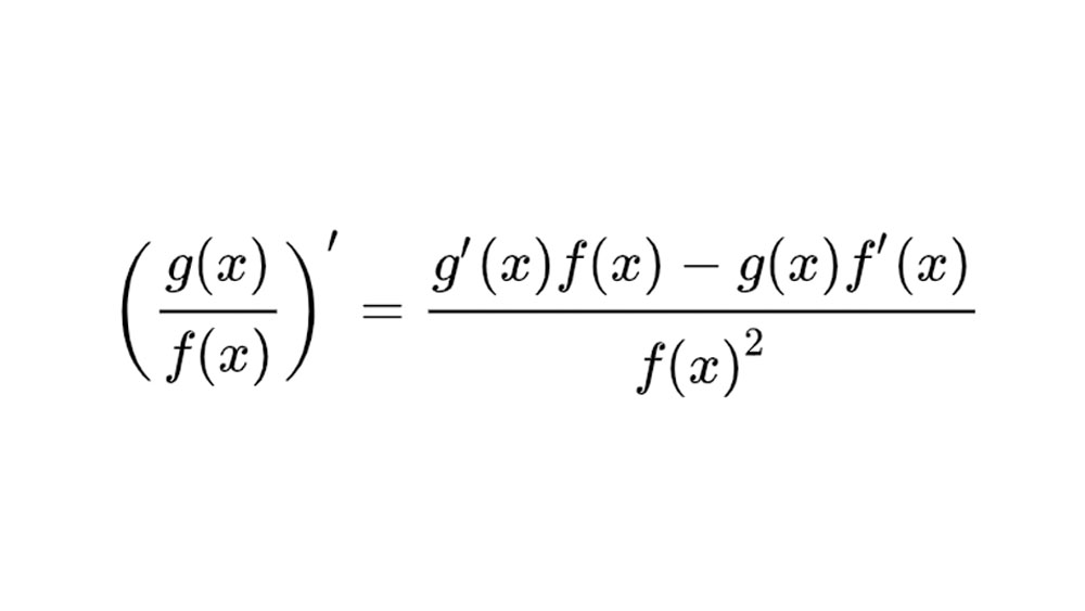
商の微分
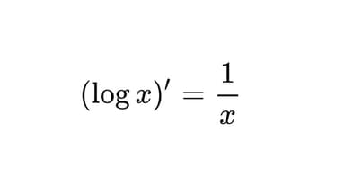
対数関数の導関数