Follow Us!!:

アプリなら、たくさんの便利な機能が無料で使える!
今すぐアプリをダウンロードして、もっと自由に学ぼう!

履歴の確認
お気に入り・フォローの登録
通知の受け取り
ファイルの作成・追加・複製
メモの作成・確認
モチベボードの投稿
App StoreからダウンロードGoogle Playで手に入れよう
運営会社お問い合わせ利用規約プライバシーポリシー
YouTube利用規約

© 2025, okke, Inc.

対数関数の導関数

概要

数学IIIでは、なんと対数関数の導関数も求めることができる。嬉しいかどうかは人による。

公式は、

だけ使いながら覚えて、ここから色々と応用していく。なお、底の数字が何も書いてないときは、自然対数(底が)を表す。

これまで学んできた内容が色々と登場して、懐かしい気持ちになりやすい。かもしれない。

証明

導関数の定義とネイピア数の定義を用いながら、示していく。

例

底の変換公式を用いて、底を に変換した。主役の に関係ないものは、全て定数扱いできる。

次に、 を求める。真数条件より、 を考えれば良い。

のとき、

のとき、

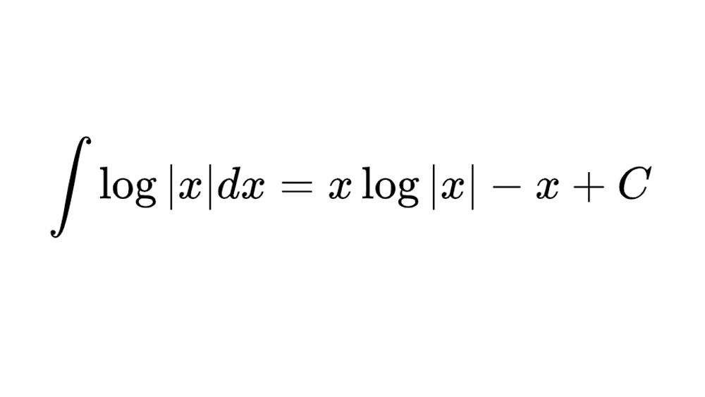
となり、正負によらず、

となる。これは積分の時にまた登場する。

タグ

この用語を含むファイル

数学公式 微分

13コンテンツを保存済み

関連動画

34:59
【ゼロから数学】微分法5 指数,対数関数の導関数「ただよび」理系チャンネル
8:45
自然対数の底e(ネイピア数)の定義・対数関数,指数関数の導関数【高校数学】微分法#13超わかる!高校数学 III
7:57
〔数Ⅲ・微分法〕対数関数の導関数 -オンライン無料塾「ターンナップ」-オンライン無料塾「ターンナップ」
9:25
【高校数学】数Ⅲ-98 対数関数の導関数①とある男が授業をしてみた
6:59
【公式導出シリーズ】対数関数の微分公式の証明最難関の数学 by 林俊介

関連用語

導関数
真数条件
対数関数の積分
ネイピア数
底の変換公式