Follow Us!!:

アプリなら、たくさんの便利な機能が無料で使える!
今すぐアプリをダウンロードして、もっと自由に学ぼう!

履歴の確認
お気に入り・フォローの登録
通知の受け取り
ファイルの作成・追加・複製
メモの作成・確認
モチベボードの投稿
App StoreからダウンロードGoogle Playで手に入れよう
運営会社お問い合わせ利用規約プライバシーポリシー
YouTube利用規約

© 2025, okke, Inc.

対数関数の積分

概要

対数関数の積分は、一筋縄ではいかない。結論は以下の通り。

覚えなくてもいいので、 部分積分を使う計算の方法を頭に入れておき、応用していくことがオススメ。

なお、上の式は絶対値無しでも成り立つ。つまり

ここでは絶対値付きで紹介する。

証明

最初の式変形がキモ。

と見て、無理やり部分積分を行う。

補足

「部分積分」のokedic辞書で、多項式関数と対数関数を「微分した方が計算しやすいもの」として紹介したが、 この2つが掛け算されている形のときは対数関数が勝って、

  • 「微分した方が計算しやすいもの」:対数関数
  • 「積分されても困らないもの」:多項式関数

として部分積分をすることが多い(対数関数を微分すると が出てくるので、多項式関数の積分と打ち消せる)。

タグ

関連動画

1:29:34
たった2時間で数3積分が無双できる動画【完結編】Stardy -河野玄斗の神授業
17:24
【高校数Ⅲ】不定積分・定積分⑤ 部分積分(1)「ただよび」理系チャンネル
32:16
代表的な積分漸化式をじっくり−sin/cos/log/tanのn乗の定積分− (数学III特講・積分/定積分と漸化式①)ぶおとこばってん
5:40
【岩手大2021】定積分の計算 絶対値とlogたてぃこ
18:47
【数Ⅲ-157】定積分の部分積分法③とある男が授業をしてみた

関連用語

部分積分
対数関数の導関数
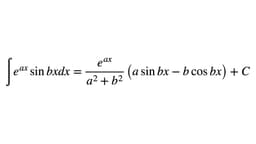
指数関数×三角関数の積分
√x^2+1の積分
ウォリス積分