Follow Us!!:

アプリなら、たくさんの便利な機能が無料で使える!
今すぐアプリをダウンロードして、もっと自由に学ぼう!

履歴の確認
お気に入り・フォローの登録
通知の受け取り
ファイルの作成・追加・複製
メモの作成・確認
モチベボードの投稿
App StoreからダウンロードGoogle Playで手に入れよう
運営会社お問い合わせ利用規約プライバシーポリシー
YouTube利用規約

© 2025, okke, Inc.

指数関数の導関数

概要

数学IIIでは、指数関数の導関数も求めることができる。特に の導関数 は、三角関数や対数関数の導関数と肩を並べる人気者。あらゆる大学から引っ張りだこである。

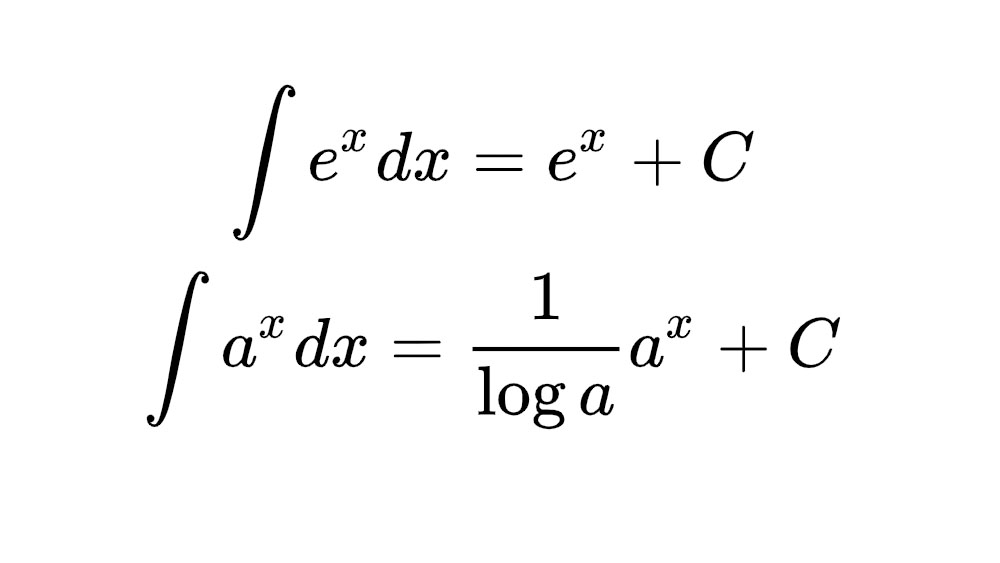
公式は、

上は、 は微分しても のままという公式。下の式に を代入した式になっている。

証明

両辺の自然対数を取って導関数を計算する 「対数微分法」 という方法で

を示す。また指数関数の底の条件として、 で考える。

の両辺の自然対数をとると、

この両辺を で微分すると、

この時、左辺は対数関数の導関数を使っていて、 を固まりと見て、合成関数の微分を用いている。変形して、 を代入すると、

が導かれる。上で述べたように、 とすると

が出てくる。

タグ

この用語を含むファイル

数学公式 微分

13コンテンツを保存済み

数学

8コンテンツを保存済み

関連動画

21:50
【受験数学演習#31】(数Ⅲ)微分計算AKITOの勉強チャンネル
14:16
【受験数学♯55】(数Ⅲ)対数の利用(極限・微分)AKITOの勉強チャンネル
11:57
変わった指数方程式鈴木貫太郎
3:47
【18-6】x^π を微分すると?【再生リスト】で気になる単元を確認してね!予備校2.0
12:00
【対数微分法】、媒介変数の2階微分(d/dxの利用方法)数学力向上チャンネル

関連用語

導関数
指数関数の積分
対数関数の導関数
合成関数の微分