Follow Us!!:

アプリなら、たくさんの便利な機能が無料で使える!
今すぐアプリをダウンロードして、もっと自由に学ぼう!

履歴の確認
お気に入り・フォローの登録
通知の受け取り
ファイルの作成・追加・複製
メモの作成・確認
モチベボードの投稿
App StoreからダウンロードGoogle Playで手に入れよう
運営会社お問い合わせ利用規約プライバシーポリシー
YouTube利用規約

© 2025, okke, Inc.

指数関数の積分

概要

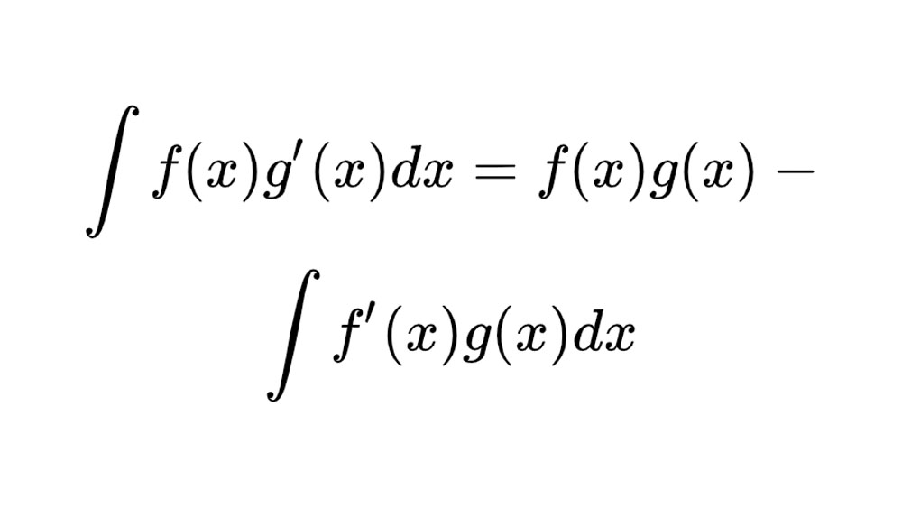
指数関数の積分が単体で出ることは少ないが、部分積分のときに、「積分される関数」に選ばれることが多く、 名脇役と言える。

式は以下の通り。右辺を微分すると、左辺の積分の中身になることを確認できる。

例

を定数とするとき、

(積分定数は、定数の係数も全て吸収して という定数でドンとおける)

タグ

この用語を含むファイル

数学

8コンテンツを保存済み

関連動画

15:37
【高校数Ⅲ】積分法の応用⑧ 体積(演習編2)「ただよび」理系チャンネル
26:01
【受験数学演習#34】(数Ⅲ)積分計算AKITOの勉強チャンネル
20:38
福田の数学〜杏林大学2022年医学部第2問〜定積分と関数の増減JiroFukuda Math Channel
29:08
【2022年度/大阪大学】理系 大問5解説(前半)*「ただよび」理系チャンネル
10:56
【大阪大2022】パラメーター表示のグラフと面積たてぃこ

関連用語

指数関数の導関数
指数関数×三角関数の積分
部分積分
瞬間部分積分
xのp乗の導関数