Follow Us!!:

アプリなら、たくさんの便利な機能が無料で使える!
今すぐアプリをダウンロードして、もっと自由に学ぼう!

履歴の確認
お気に入り・フォローの登録
通知の受け取り
ファイルの作成・追加・複製
メモの作成・確認
モチベボードの投稿
App StoreからダウンロードGoogle Playで手に入れよう
運営会社お問い合わせ利用規約プライバシーポリシー
YouTube利用規約

© 2025, okke, Inc.

合成関数の積分

概要

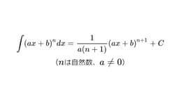
積分の計算において、中身の 「合成関数の微分」の形を見抜くことが鍵となることがある。形を見抜けた瞬間に、世界が晴れる人もいる。公式のように書くと下のようになるが、この式を覚えてもしょうがないので、下の例題で確認しよう。

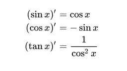
また、「合成関数の微分」は下の式であり、 「中身を固まりと見て微分し、その固まりの微分を掛ける」 という考え方がとても大事。身に覚えのない子は、「合成関数の微分」の辞書に戻って確認しよう。

例題

次の不定積分を考えよう。

まずは、この形が出てきそうな合成関数の微分の式を考えると、

に気付くので、 は

と求められる( は積分定数)。展開せずに求められるのが魅力で、 定数倍のズレであれば、このようにチョチョっと調整すればOK。

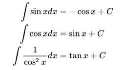
もう 問、これも求めてみよう。少し難易度が上がる。三角関数の導関数を忘れた方は、こちらから復習しよう。

まずは、三角比の公式で を に変える。

ここで、 の微分が となることに注目して、合成関数の積分を疑う。この形が出てきそうな合成関数の微分の式を考えると、

となって、求める積分の中身の定数倍が出てきた。なので、 は

と求められる( は積分定数)。

何らかの関数と、 その微分っぽいものがくっついていると、この合成関数の積分の考え方が使えないかな〜と調べてみるのが良い。これを使いこなせるようになると、積分できる関数が広がって行く。

補足

微分形の接触、とも呼ばれる。(ヨビノリさんの今週の積分シリーズだと、この呼び方がされている)

関数分の導関数の積分も、結局は、対数関数を使ってこの合成関数の積分の式変形をしているにすぎない。

タグ

関連動画

7:45
〔数Ⅲ・不定積分〕ax+bタイプ -オンライン無料塾「ターンナップ」-オンライン無料塾「ターンナップ」
32:16
代表的な積分漸化式をじっくり−sin/cos/log/tanのn乗の定積分− (数学III特講・積分/定積分と漸化式①)ぶおとこばってん
14:04
【受験数学♯104】(数Ⅲ)積分計算③~合成・部分積分~AKITOの勉強チャンネル
8:02
【京大2011】整式 × √整式 の定積分 | 大学入試 数学 過去問 解説最難関の数学 by 林俊介
9:40
微分積分 有名な定積分公式 【数学ⅡB・微分法・積分法】数学・英語のトリセツ!

関連用語

合成関数の微分
1次式のn乗の導関数
1次式のn乗の積分
三角関数の導関数
三角関数の積分