Follow Us!!:

アプリなら、たくさんの便利な機能が無料で使える!
今すぐアプリをダウンロードして、もっと自由に学ぼう!

履歴の確認
お気に入り・フォローの登録
通知の受け取り
ファイルの作成・追加・複製
メモの作成・確認
モチベボードの投稿
App StoreからダウンロードGoogle Playで手に入れよう
運営会社お問い合わせ利用規約プライバシーポリシー
YouTube利用規約

© 2025, okke, Inc.

高瀬の高校数学攻略チャンネル【大手予備校講師】

微分公式(三角関数)【数Ⅲ 微分法】現大手予備校講師の5分でわかる!高校数学

次の動画:x軸回転体の体積(重なりあり)【数Ⅲ 積分法】現大手予備校講師の5分でわかる!高校数学

概要

動画投稿日|2020年7月13日

動画の長さ|5:52

難易度★★☆☆☆ 講師:高瀬 仁宏 (現大手予備校講師) ~高瀬の5分動画!~ 高校数学の必要事項を5分間で解説していきます。授業は『テンポ良く進む』ことを優先してサクサク進みますから、各自必要に応じて動画を止めたりしながらノートをとってください。自分の手を動かすことで習得しやすくなります。 その他の解説動画もyoutubeに公開していきます。活用してください。 私立医学部の過去問、過去問解説動画や、具体的な対策法についてもホームページ(高瀬仁宏の高校数学HP)で公開しております。 ホームページ:http://takasemath.com/ 東京大・京都大・東工大・一橋大・北海道大・東北大・大阪大・名古屋大・九州大・国公立医学部・早稲田大・慶応大・私立医学部 #5分でわかる! #高瀬の数学 #数Ⅲ #大学受験 #数学 #微分 #微分公式 #証明 #微分計算 #三角関数

タグ

#高3#レベル2#微分(数Ⅲ)#講義

関連動画

23:16
【ゼロから数学】微分法4 三角関数の導関数「ただよび」理系チャンネル
9:30
長岡先生の集中講義_数学3【15-1】長岡先生の数学
3:07
【18-3】少し工夫して、三角関数を微分する!【再生リスト】で気になる単元を確認してね!予備校2.0
34:47
覚える公式一覧・数学2B編(東大医学部の解説動画)ガチでノビる受験数学 東大医学部の解説動画
12:02
〔数Ⅲ・微分法〕三角関数の導関数(導出)-オンライン無料塾「ターンナップ」-オンライン無料塾「ターンナップ」

関連用語

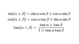
三角関数の導関数
導関数
90°関係
和積公式
合成関数の微分