Follow Us!!:

アプリなら、たくさんの便利な機能が無料で使える!
今すぐアプリをダウンロードして、もっと自由に学ぼう!

履歴の確認
お気に入り・フォローの登録
通知の受け取り
ファイルの作成・追加・複製
メモの作成・確認
モチベボードの投稿
App StoreからダウンロードGoogle Playで手に入れよう
運営会社お問い合わせ利用規約プライバシーポリシー
YouTube利用規約

© 2025, okke, Inc.

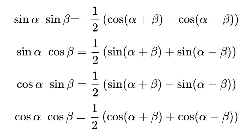
和積公式

概要

や の和や差は、下の和積公式により、積の形に変換できる。三角関数で、公式がたくさん出てきて疲れたところに登場するので、これでKOされる人も多い。

証明

と を次のように変形することで、加法定理から全て導ける。

例えば一番上の和積公式については、

と導出できる。他の つについても同様に計算できる。

補足

  • 上の角度の変形だけ頭に入れておけば、覚える必要はなくなる
  • 大事なのは、 や の和や差が、積の形に変換できるということ
  • 積に変換できて何が嬉しいかというと、 因数分解できて、たとえば方程式がとても解きやすくなる
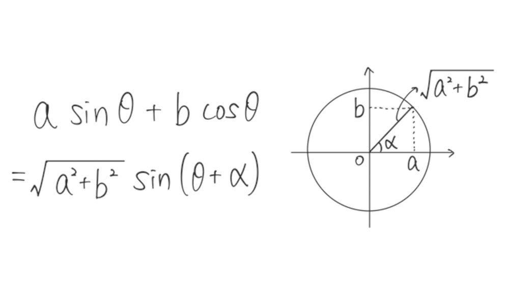
  • 上の式は と という、違う角度での和と差に使える。角度が同じ と の和であれば、三角関数の合成の出番

タグ

この用語を含むファイル

数学公式

72コンテンツを保存済み

覚えたら消す!!

115コンテンツを保存済み

数学

11コンテンツを保存済み

数学 忘れがちな公式

1コンテンツを保存済み

三角関数

2コンテンツを保存済み

関連動画

26:44
三角関数の頻出問題 ①三角方程式・公式を使うコツ【良問 67/100】ぶおとこばってん
28:23
三角関数の公式の「使い方」を深める!(明日から使える式変形④)ぶおとこばってん
34:47
覚える公式一覧・数学2B編(東大医学部の解説動画)ガチでノビる受験数学 東大医学部の解説動画
20:12
【受験数学#59】三角関数の性質③(和積・積和公式・合成公式)AKITOの勉強チャンネル
17:55
三角関数の頻出問題 ②三角関数を含む不等式【良問 68/100】ぶおとこばってん

関連用語

加法定理
合成
積和公式
2倍角の公式
3倍角の公式