Follow Us!!:

アプリなら、たくさんの便利な機能が無料で使える!
今すぐアプリをダウンロードして、もっと自由に学ぼう!

履歴の確認
お気に入り・フォローの登録
通知の受け取り
ファイルの作成・追加・複製
メモの作成・確認
モチベボードの投稿
App StoreからダウンロードGoogle Playで手に入れよう
運営会社お問い合わせ利用規約プライバシーポリシー
YouTube利用規約

© 2025, okke, Inc.

数学公式72コンテンツを保存済み

2乗のルート
3乗公式
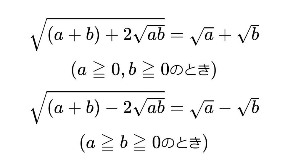
二重根号
解と係数の関係
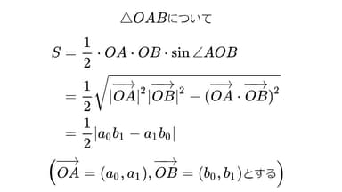
三角形の面積
正弦定理
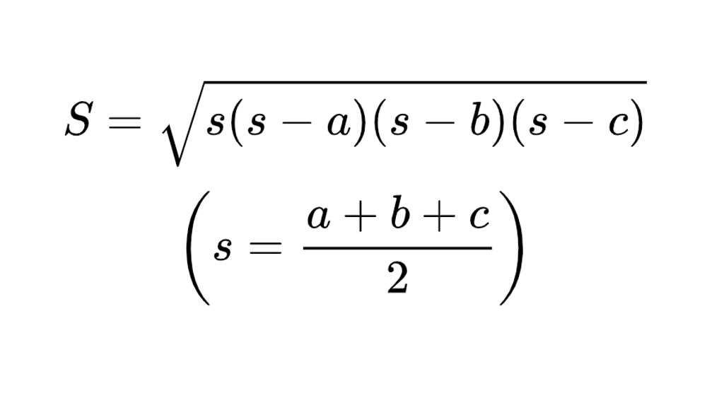
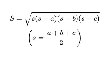
ヘロンの公式
中線定理
仮説検定
変量の変換
三角形の成立条件
内接円の半径
オイラーの多面体定理
メネラウスの定理
チェバの定理
トレミーの定理
方べきの定理
傍心
接弦定理
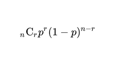
反復試行
条件付き確率
ユークリッドの互除法
二次不定方程式
フェルマーの小定理
約数の総和
約数の個数
mod
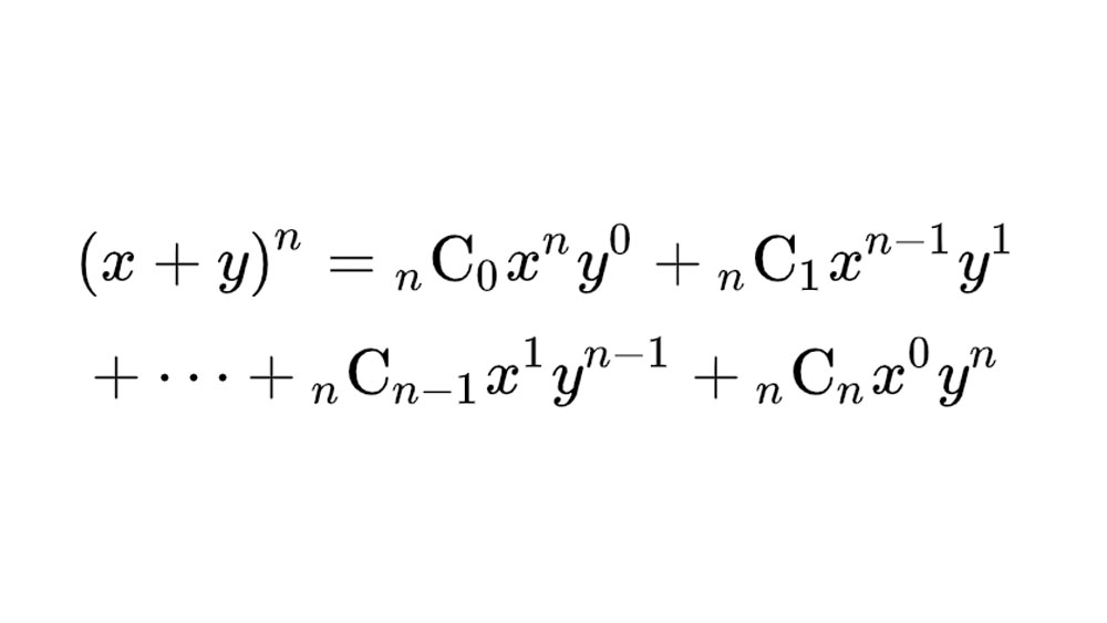
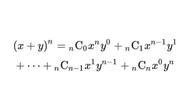
二項定理
比例式
解と係数の関係
オメガ
組立除法
剰余の定理
相加相乗平均
円の媒介変数表示
円と直線の共有点
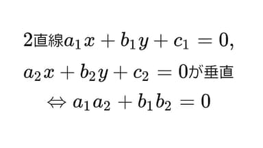
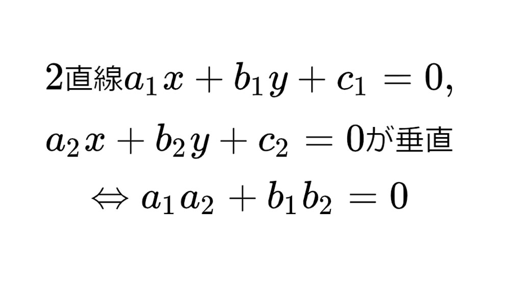
2直線の垂直条件
2直線の平行条件
外分点の座標
内分点の座標
直線束
桁数
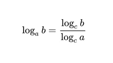
底の変換公式
半角の公式
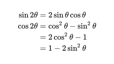
2倍角の公式
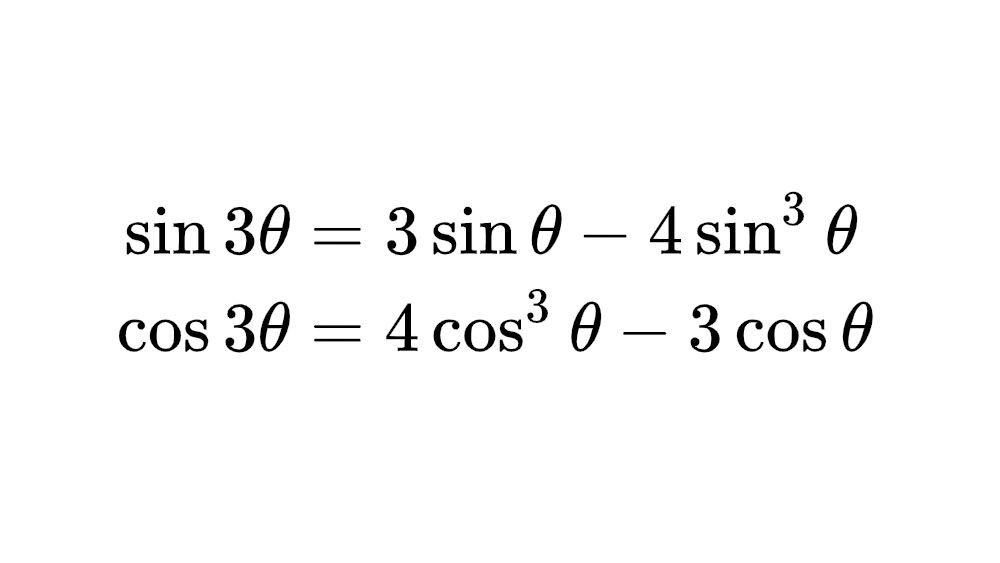
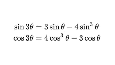
3倍角の公式
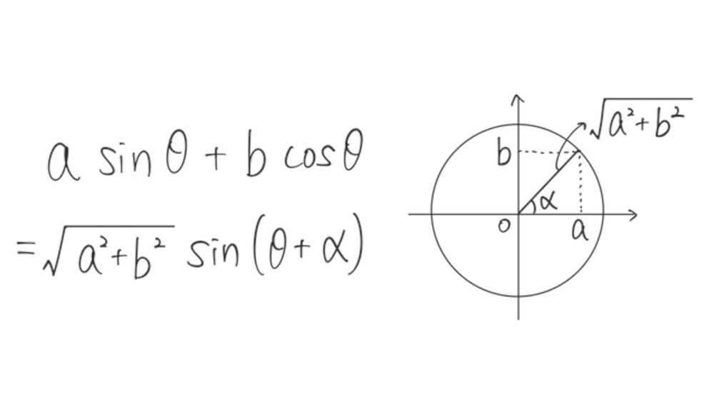
合成
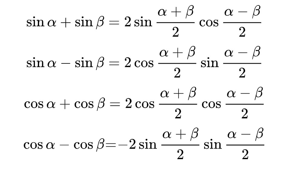
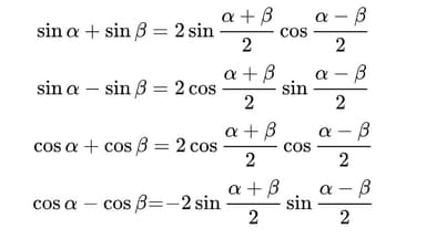
和積公式
積和公式
微分係数
導関数
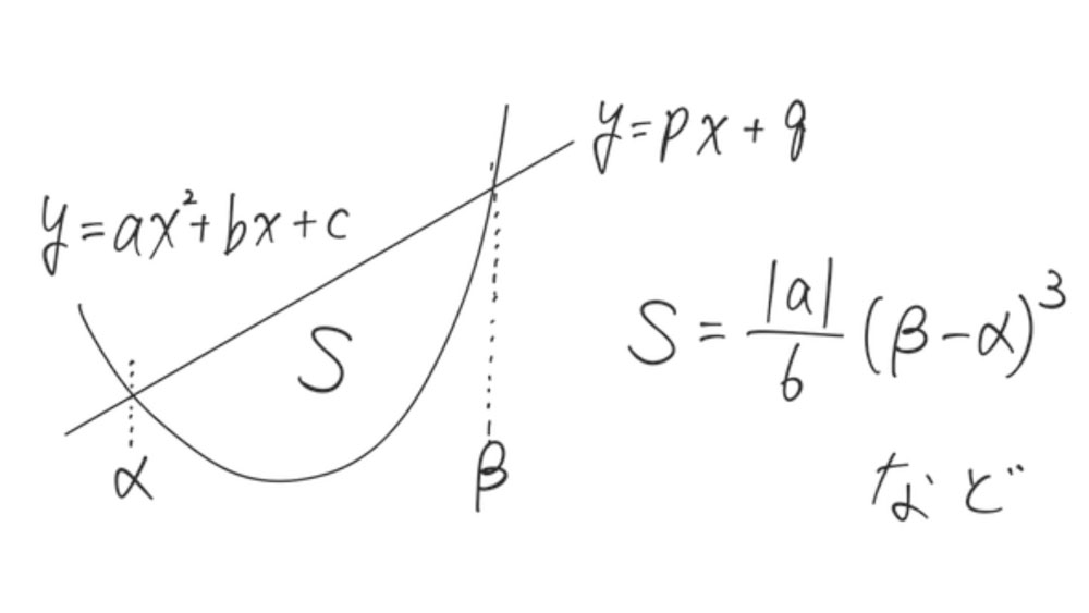
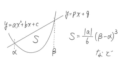
放物線の面積公式
等差数列×等比数列の形の数列
連続整数の積のシグマ
等比中項
階差数列
三項間漸化式
確率変数の変換
終点の存在範囲
同一平面上にある条件
一次独立
一次独立
楕円
双曲線
放物線
放物線
二次曲線の極方程式
極形式
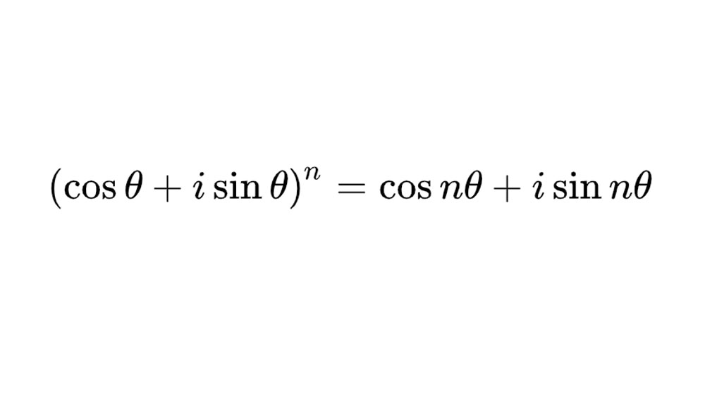
ド・モアブルの定理
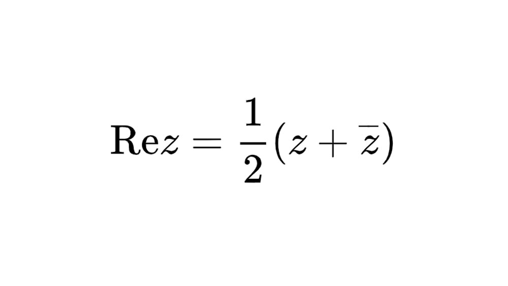
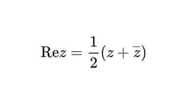
実部の求め方
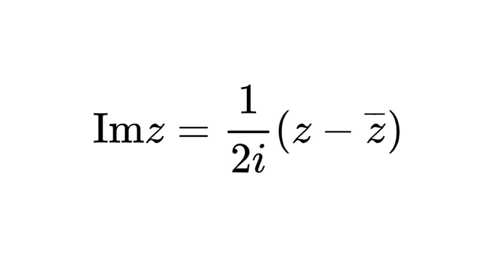
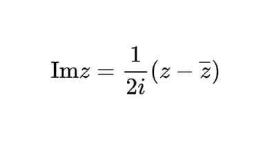
虚部の求め方
複素数の絶対値