Follow Us!!:

アプリなら、たくさんの便利な機能が無料で使える!
今すぐアプリをダウンロードして、もっと自由に学ぼう!

履歴の確認
お気に入り・フォローの登録
通知の受け取り
ファイルの作成・追加・複製
メモの作成・確認
モチベボードの投稿
App StoreからダウンロードGoogle Playで手に入れよう
運営会社お問い合わせ利用規約プライバシーポリシー
YouTube利用規約

© 2025, okke, Inc.

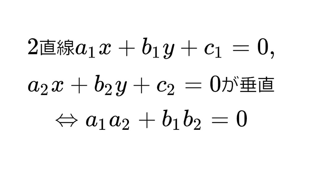
2直線の平行条件

概要

一般形で表した 直線

が平行であるための必要十分条件は、

が成り立つことである。(一致する場合も含む)

例

直線

が平行であるときの の値を求めると、

となる。

証明

本格的に式で証明しようとすると、文字で割る際に場合分けが発生するが、ここでは、 と は では無いとして、 イメージだけ解説する。(気持ち悪くて、詳しく証明を確認したい方は、例えば、こちらのぶおとこばってん「良問演習 #52 平行条件」の動画で確認できる)

つの直線を

とおくと、 と は では無いとの仮定のもとで、

と変形できる。これらの つの直線が平行であるとは、つまり傾きが等しいことなので、

となる。その他、ベクトルの平行条件を使ってうまく証明する方法もある。(例えば、こちらのAKITO氏の「受験数学 #88」の動画など)

補足

覚えるとなると、垂直条件と頭がこんがらがるので、上の簡略版証明で作れればOK!

平行の中でも、特に一致する条件は、

であり、 についての条件も入ってくる。

また、中学の時に学んだ

という直線の形だと、 という形の 軸に垂直な直線を表わせないので、高校では上のように、 にも係数を付けた直線の一般形というものが、満を持して登場することになった。

タグ

この用語を含むファイル

数学公式

72コンテンツを保存済み

覚えたら消す!!

115コンテンツを保存済み

図形と方程式

11コンテンツを保存済み

関連動画

20:25
平行条件と直交条件を厳密に理解する|図形と方程式の頻出問題①【良問 52/100】ぶおとこばってん
12:26
【高校数学】 数Ⅱ-61 直線の方程式⑥とある男が授業をしてみた
13:18
【高校 数学Ⅱ】 図形と式8 平行と垂直 (13分)映像授業 Try IT(トライイット)
12:27
【高校数学】 数Ⅱ-57 直線の方程式②とある男が授業をしてみた
3:27
平行・垂直・3直線が1点で交わる条件【高校数学】図形と方程式#9超わかる!高校数学 II・B

関連用語

2直線の垂直条件