Follow Us!!:

アプリなら、たくさんの便利な機能が無料で使える!
今すぐアプリをダウンロードして、もっと自由に学ぼう!

履歴の確認
お気に入り・フォローの登録
通知の受け取り
ファイルの作成・追加・複製
メモの作成・確認
モチベボードの投稿
App StoreからダウンロードGoogle Playで手に入れよう
運営会社お問い合わせ利用規約プライバシーポリシー
YouTube利用規約

© 2025, okke, Inc.

虚部の求め方

概要

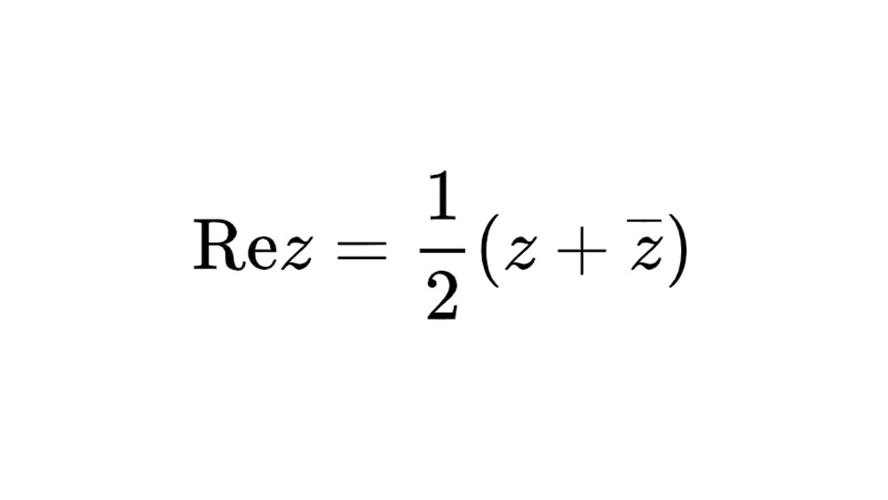
成分がわからない複素数 が与えられた時に、その虚部(簡単にいうと の係数)を表す方法は、以下の通り。

なお、 は複素数 の共役な複素数。上の関係式は、成分で考えるとすぐにわかる。( は実数)とおくと、左辺については定義から

右辺についても、

となり、成立する。この式を覚えるよりも、 成分で表されていないときに、共役な複素数を使うことで、虚部を表すことができる ということを押さえておくことが大事。

補足

複素数平面で考えると、これは複素数 の虚軸成分を求めていることになる。この図形的イメージも大事。

スクリーンショット 00071104 20.50.22.png

また、細かいが 「虚部」は実数なので注意。つまり は虚部に含まれない、あくまでも にくっついてる数のこと。

タグ

この用語を含むファイル

数学公式

72コンテンツを保存済み

覚えたら消す!!

115コンテンツを保存済み

関連動画

38:31
複素数平面のありがたさ・共役周りの性質 (数学III特講・複素数平面/式の処置①)ぶおとこばってん
12:47
実数・複素数条件[数学III 複素数平面7(高校数学理論講座)]Masaki Koga [数学解説]
25:11
複素数平面7:複素数平面と三角形③《横浜国立大2004年》Mathematics Monster
24:11
【受験数学♯130】(数Ⅲ)共役複素数AKITOの勉強チャンネル
21:29
大学入試数学解説:東大2016年理系第4問【数学III 複素数平面】Masaki Koga [数学解説]

関連用語

実部の求め方
共役
オメガ
純虚数
複素数の絶対値