概要
二項の和の 乗を下の通り展開できることを、二項定理や二項公式という。
また、
なので、二項定理の式の右辺の第1項を簡単に書くと 、最後の項を簡単に書くと と、計算できるものを計算すると、こんな感じになる。
この式が成り立つ理由としては、まず が 回掛けられていると考えて、それぞれの のうち、 か を選んで掛けていくと考える。
このとき、例えば の項が何回登場するかを考えると、 回中 回 を取ってくる「場合の数」と等しくなるので、 というのが の係数となる。

これが、組み合わせの が項の係数に登場する理由。
例
【問】 を展開したとき、 の係数は何か。
【答】二項定理より、 の項は、
であるので、計算すると、
であるから、係数は となる。

補足
- 初めて見たときにギョッとする定理ランキング上位
- 上の通り式を作れれば、覚える必要はない
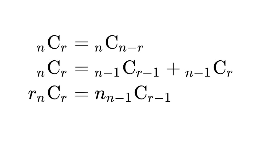
- この は二項係数と呼ぶ。色々と面白い性質があるので、「Cの性質」という辞書を確認してみよう
- 二項係数については、パスカルの三角形も有名。(例えば、「とある男が授業をしてみた」のはいち先生の動画を参照)
- 二項係数の面白い等式として、二項定理の と に を入れると、以下の式が成り立つ