Follow Us!!:

アプリなら、たくさんの便利な機能が無料で使える!
今すぐアプリをダウンロードして、もっと自由に学ぼう!

履歴の確認
お気に入り・フォローの登録
通知の受け取り
ファイルの作成・追加・複製
メモの作成・確認
モチベボードの投稿
App StoreからダウンロードGoogle Playで手に入れよう
運営会社お問い合わせ利用規約プライバシーポリシー
YouTube利用規約

© 2025, okke, Inc.

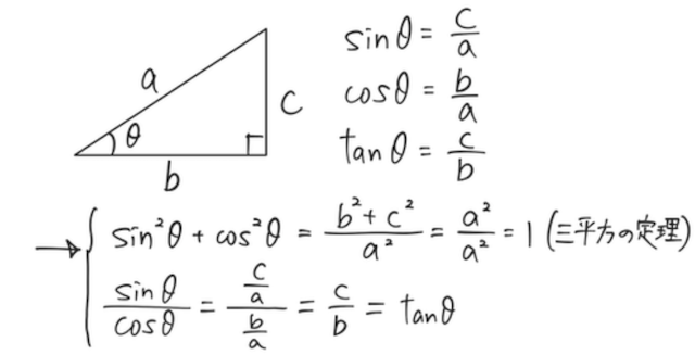
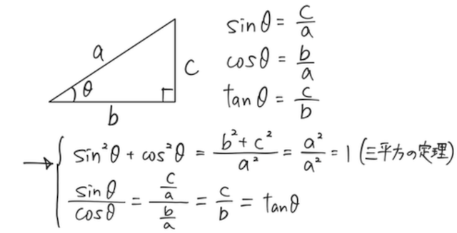
三角比の公式

概要

三角比の間の関係として、次の式が成り立つ。

の両辺を で割り、 を用いると、

が成り立つ。

高校数学で、 これでもかというくらい出てくる式。あたたかく受け入れてあげよう。

証明

直角三角形による三角比の定義に基づいて証明する。(つまり 〜)

スクリーンショット 00071104 20.38.55.png

単位円を用いた、より広い定義のもとでも(つまり 〜 以外でも)、単位円を使って同様に証明できる。

使い方

それぞれの公式の使い方としては、

  • は と の関係式で、どちらかを知りたいときにもう片方から求めることができる
  • は と から を求めるという使い方が多い
  • は と の関係式で、どちらかを知りたいときにもう片方から求めることができる

あとは慣れて、その場その場で使えるものを使っていくイメージ。

例

【問題】 として、 であるとき、 と の値を求めよ。

【解答】 より

なので であり、

また、 より、

とそれぞれ求められる。

タグ

この用語を含むファイル

覚えたら消す!!

115コンテンツを保存済み

三角比

4コンテンツを保存済み

テスト範囲(数学)

3コンテンツを保存済み

数学

7コンテンツを保存済み

三角関数

3コンテンツを保存済み

関連動画

15:34
数学Ⅰ第49回:三角比の相互関係 第4章 図形と計量 <教科書ベースで学ぶ高校数学> #92ぱた/高校数学
11:54
【高校 数学Ⅰ】 三角比8 相互関係(図) (12分)映像授業 Try IT(トライイット)
11:28
【高校 数学Ⅰ】 三角比17 鈍角の時の相互関係1(11分)映像授業 Try IT(トライイット)
21:45
【受験数学♯70】直角三角形AKITOの勉強チャンネル
1:48:02
中学数学からはじめる三角関数予備校のノリで学ぶ「大学の数学・物理」

関連用語

tan
代表的な三角比の値
sin
cos
90°関係