Follow Us!!:

アプリなら、たくさんの便利な機能が無料で使える!
今すぐアプリをダウンロードして、もっと自由に学ぼう!

履歴の確認
お気に入り・フォローの登録
通知の受け取り
ファイルの作成・追加・複製
メモの作成・確認
モチベボードの投稿
App StoreからダウンロードGoogle Playで手に入れよう
運営会社お問い合わせ利用規約プライバシーポリシー
YouTube利用規約

© 2025, okke, Inc.

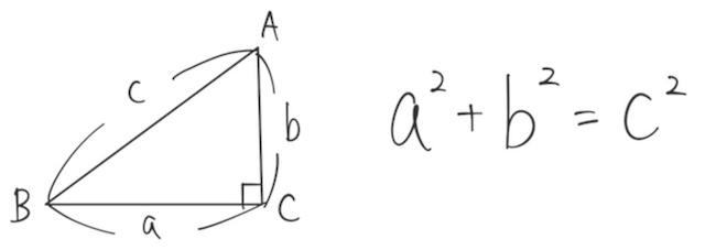
三平方の定理

概要

直角三角形の三辺の長さについて、次の関係式が成り立つことを三平方の定理という。

f77ce0cc435147e8abc665fdadf56c63.jpg

「ピタゴラスの定理」とも呼ばれるが、高校数学では「三平方の定理」と書かれていることが多い。画数は「三平方の定理」の方が 画少ない。

証明

通りを超える証明方法があると言われているが、ここでは代表的なものを紹介する。他の証明は、例えば林俊介さんの動画を参照。

Untitled P1 156.png

上の図で、大きい正方形(水色)の面積を 通りで計算する。

①一辺の長さの 乗として

②小さい正方形(ピンク)+ つの直角三角形として

これらが等しいので、

が示される。

補足

逆も成り立つ。つまり、三辺の間に

の関係が成り立つ三角形は、 の対角を直角とする直角三角形になる。

また、 を満たす自然数の組 をピタゴラス数といい、大学受験でもちょいちょい登場してくるテーマ。ピタゴラス数に関する整数問題は、こちらのようにokedouで絞り込み検索できる。

タグ

この用語を含むファイル

数A 学年末テスト

7コンテンツを保存済み

関連動画

10:13
【高校数学】 数Ⅱ-52 点と直線②とある男が授業をしてみた
13:32
【数A/図形の性質#1】三平方の定理とその逆颯斗のYouTube高校【数学・物理・化学】
12:40
【数学 教科入門雑学③】地球の半径を測ってみよう!*「ただよび」理系チャンネル
1:48:02
中学数学からはじめる三角関数予備校のノリで学ぶ「大学の数学・物理」
15:44
#465 2010 一橋大 整数辺の直角三角形の組が3つある条件【数検1級/準1級/中学数学/高校数学/数学教育】JJMO JMO IMO Math Olympiad Problems楽しい数学の世界へ

関連用語

三角比の公式
2点間の距離
余弦定理
フェルマーの最終定理