概要
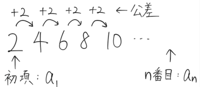
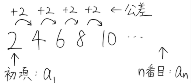
という数の並びをイメージしよう。ずつ増えていることがわかる。
このように、 次の数との差が常に等しい数列を、「等差数列」 と呼ぶ。(数列とカッコよく書いているが、簡単に言うと数の並び)
また、次の数との差を公差と呼び、基本的に で表す。この例では 。

数列の何番目にどういう数字がくるか、すぐにわかるようにしたものが、「一般項」と言われるもので、第 項目の数を を使って表現し、基本的に と書く。
等差数列の場合は、
となる。( は初項と呼ばれ、つまり数列の最初の数を表す。この例では )
これは、最初の数に、公差を 個足したものが、 番目の数になると考えると理解できる。
この式によって、 数列の何番目にどういう数字がくるか、すぐに計算できる。たとえば、 番目にくる数は、
とわかる。
等差数列の「和」 についても知っておこう。等差数列の初項から第 項までの和(つまり )は、
で計算できる。(和は基本的に を使う)
たとえば、上の数列の初項から第 項までの和を計算すると、まず一般項の式から
なので、
とわかる。
証明
足す順序を入れ替えると、
とも書ける。ここで、 と を辺々足すと、
となる。
補足
- 難しそうな漢字がたくさん出てくるが、 簡単な数の並びとイメージで考えるようにすると、一気に数列と仲良くなれる。
- 和については、 から足さなくてもOK。その場合は 項数を使う。例えば第 項から第 項までの和は、項数の を使って、下の式で計算できる。
- 漸化式で、 という形にピンときたら、それは等差数列を表している。