Follow Us!!:

アプリなら、たくさんの便利な機能が無料で使える!
今すぐアプリをダウンロードして、もっと自由に学ぼう!

履歴の確認
お気に入り・フォローの登録
通知の受け取り
ファイルの作成・追加・複製
メモの作成・確認
モチベボードの投稿
App StoreからダウンロードGoogle Playで手に入れよう
運営会社お問い合わせ利用規約プライバシーポリシー
YouTube利用規約

© 2025, okke, Inc.

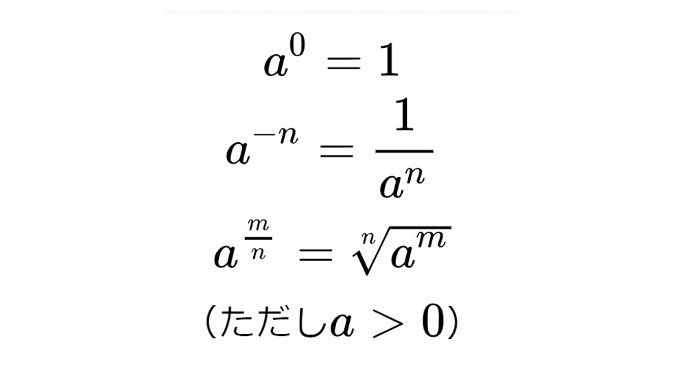
指数法則

概要

が実数、 のとき、次の性質が成立し、この法則のことを指数法則と呼ぶ。

直接これが問題になることは少ないが、高校数学を進めていくうえでとても大事になる性質で、 縁の下の力持ち的な存在。

例題

補足

が何回掛けられていくかを書き下すと理解がしやすい。例えば、

スクリーンショット 00071104 20.27.49.png

一般的に、数学Iでは指数 が正の整数の場合を扱うことが多いが、数学IIで結局 ・負の整数・有理数・実数の指数へと拡張されていくので、ここでは実数とした。

タグ

この用語を含むファイル

覚えたら消す!!

115コンテンツを保存済み

数学

4コンテンツを保存済み

算数(授)

69コンテンツを保存済み

関連動画

10:59
【入試数学(基礎)】指数対数1 指数法則*「ただよび」理系チャンネル
11:56
【高校数学】 数Ⅱ-129 指数関数③・方程式編とある男が授業をしてみた
12:42
【高校数学】 数Ⅱ-130 指数関数④・不等式編とある男が授業をしてみた
3:40
対称式の利用(指数の計算と式の値)【高校数学】指数・対数関数#13超わかる!高校数学 II・B
1:35:47
【超簡単!数学の価値観が変わる講義】指数・対数関数数学力向上チャンネル

関連用語

指数の拡張
累乗根
指数関数の導関数
展開の工夫