Follow Us!!:

アプリなら、たくさんの便利な機能が無料で使える!
今すぐアプリをダウンロードして、もっと自由に学ぼう!

履歴の確認
お気に入り・フォローの登録
通知の受け取り
ファイルの作成・追加・複製
メモの作成・確認
モチベボードの投稿
App StoreからダウンロードGoogle Playで手に入れよう
運営会社お問い合わせ利用規約プライバシーポリシー
YouTube利用規約

© 2025, okke, Inc.

物理89コンテンツを保存済み

苦手用

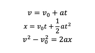
等加速度直線運動
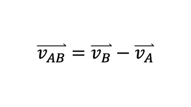
相対速度
摩擦力
浮力
フックの法則
力のモーメント
慣性力
運動方程式
運動エネルギー
弾性エネルギー
重力による位置エネルギー
仕事率
仕事
二体問題
反発係数
力積と運動量の関係
力積
運動量
回転座標系の運動方程式
極座標系の運動方程式
遠心力
等速円運動
周期
単振動の一般解
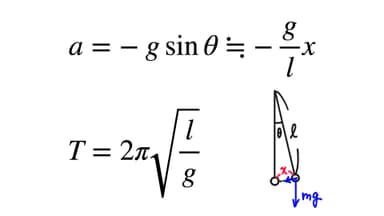
単振り子
単振動
第一宇宙速度
第二宇宙速度
ケプラーの法則
万有引力
万有引力による位置エネルギー
熱容量
二乗平均速度
気体分子運動論
マイヤーの関係式
ポアソンの法則
熱効率
定積モル比熱
定圧モル比熱
内部エネルギー
状態方程式(物理)
正弦波
全反射
屈折の法則
波の基本式
ドップラー効果
閉管の固有振動数
開管の固有振動数
弦の固有振動数
レンズの公式
回折格子
ニュートンリング
くさび形空気層
ヤングの実験
薄膜による干渉
屈折の法則
ガウスの法則
電位
電場
クーロンの法則
誘電率
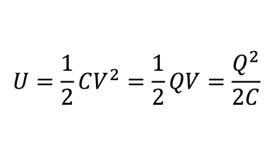
静電エネルギー
電気容量
電力
電力量
電流
オームの法則
ビオ・サバールの法則
磁束密度
磁場
ローレンツ力
電流が磁場から受ける力
電流が作る磁場
動く導体棒
相互誘導
コイルのエネルギー
自己誘導
ファラデーの電磁誘導の法則
固有周波数
インピーダンス
リアクタンス
実効値
コンプトン効果
光子の運動量
ド・ブロイ波長
質量欠損
エネルギー準位
ボーア半径
水素原子のスペクトル