質量
つまり、質量があって動いている物体は、運動エネルギーを持っていて、エネルギーを持っていると仕事をする能力を持つことになる。
また、上で「速さ」を用いて定義したように、この運動エネルギーは向きの情報をもなたい。かっこよく言うと、スカラー量である。なので、平面や空間で物体が動いていても、運動エネルギーは成分に分けることができないし、また負の値も取らないことに注意しよう。
ちなみに、平面や空間での運動について、速さ
実は、ある時刻からある時刻までの物体の運動エネルギーの変化は、その間に物体が受けた仕事に等しい。これはとても重要な関係。(仕事の辞書はこちらから)
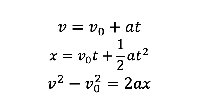
まずは簡単なケースで考えてみよう。いま、なめらかな水平面上で、質量

このとき物体の加速度を
となる。このとき、運動エネルギーの変化は、
となって、確かに物体が受けた仕事(=力
また、この関係式から、運動エネルギーの単位はジュール
上で証明っぽいものを考えたが、実際にはこの仕事との関係式は、力が一定じゃなくても成り立つ関係。これを微積の知識を使って示しておく。ここでは直線上の運動を引き続き考えるが、平面や空間になっても成分に切り分けて積分していくだけなので、やることは同じ。
なお、動画で学びたい! という方には、東大物理学科卒ひぐまさんの動画がオススメ。仕事と運動エネルギーの関係について、数学的に深く学べる。
始まりの時刻を
運動方程式より、
ここで、両辺に
※
①の左辺を計算すると、
となり、運動エネルギーの変化を表す。
また、①の右辺は、力
関連動画