Follow Us!!:

アプリなら、たくさんの便利な機能が無料で使える!
今すぐアプリをダウンロードして、もっと自由に学ぼう!

履歴の確認
お気に入り・フォローの登録
通知の受け取り
ファイルの作成・追加・複製
メモの作成・確認
モチベボードの投稿
App StoreからダウンロードGoogle Playで手に入れよう
運営会社お問い合わせ利用規約プライバシーポリシー
YouTube利用規約

© 2025, okke, Inc.

数学復習34コンテンツを保存済み

2乗の差は和と差の積
整数部分
循環小数
二重根号
交代式
ガウス記号
累乗根
2乗のルート
否定(数学)
必要条件
十分条件
必要十分条件
裏
ド・モルガンの法則
逆
対偶
命題の真偽
無限降下法
定義域
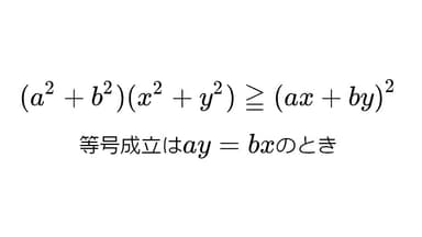
コーシー・シュワルツの不等式
90°関係
中線定理
ヘロンの公式
正弦定理
三角比の公式
180°関係
180°関係
三角形の面積
三角形の面積
余弦定理
24:06
数学I データの分析を1時間のストーリーで理解する(前半)ぶおとこばってん
箱ひげ図
相関係数
変量の変換