概要
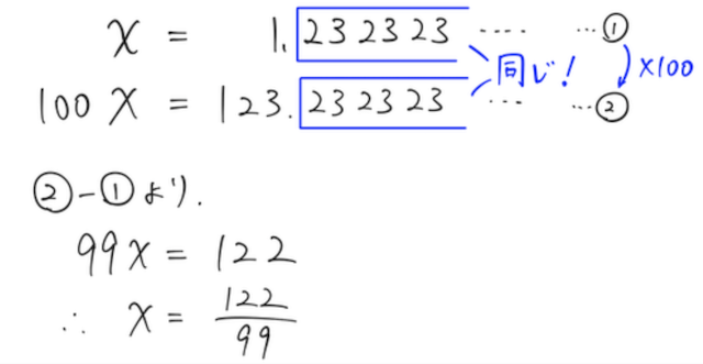
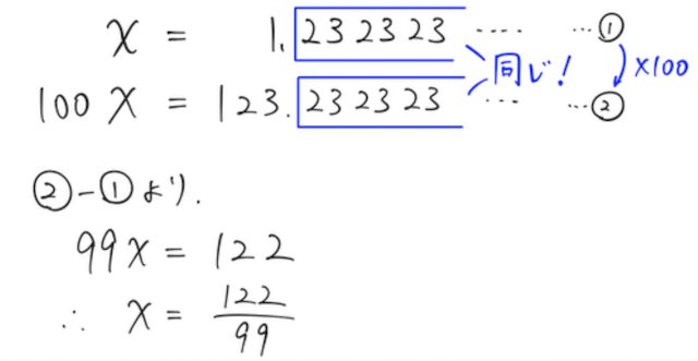
のように途中から同じ数が繰り返す小数を循環小数という。
繰り返すパートの桁の上に黒点を打って、 と表すこともある。
ここでのテーマは、こういうずっと続く小数を分数に直す方法について。
基本的には、 とか とかを掛けて、引き算することによって、 ずっと続く部分を消す作戦をとる。

発展(数学III:極限)
循環小数は、無限等比級数と考えて求めることもできる。つまり、
と見ると、 項目以降が、初項 、公比 の無限等比級数になっていることがわかる。これは収束するので、値を求めることができて、
となる。どちらの解き方でもいいと思うが、下で解けると少しカッコいい。