お久しぶりです、ぱたです。
この記事は、私のyoutube「ぱた/高校数学」内の動画:
で出てきた問題の中で、スペースの都合上詳しい解説が載せられなかった問題の詳解を掲載いたします!
解けなかった問題はよく復習してください!
また、動画内で言っている通り、計算力は日々の鍛錬によって培われる力なので、この動画に取り組めば取り組むほど効果的です!
ぜひ、一周で満足せずに何周もしてみてください!
ROUND1の補足
ROUND1についての補足です。
式の展開をするときは常に「公式を忘れても、地道に展開すれば解答できる」ということを頭の片隅に入れといてください。
これはROUND1に限った話ではありません。
模試や入試本番で展開公式を忘れて手が止まっても、地道に展開して解答しきる計算ゴリ押し力があれば点が取れるのです。
そのような意味で、模試や受験本番で解答に行き詰まった時に頼りになるのは「己の計算力」だと言っているのです。
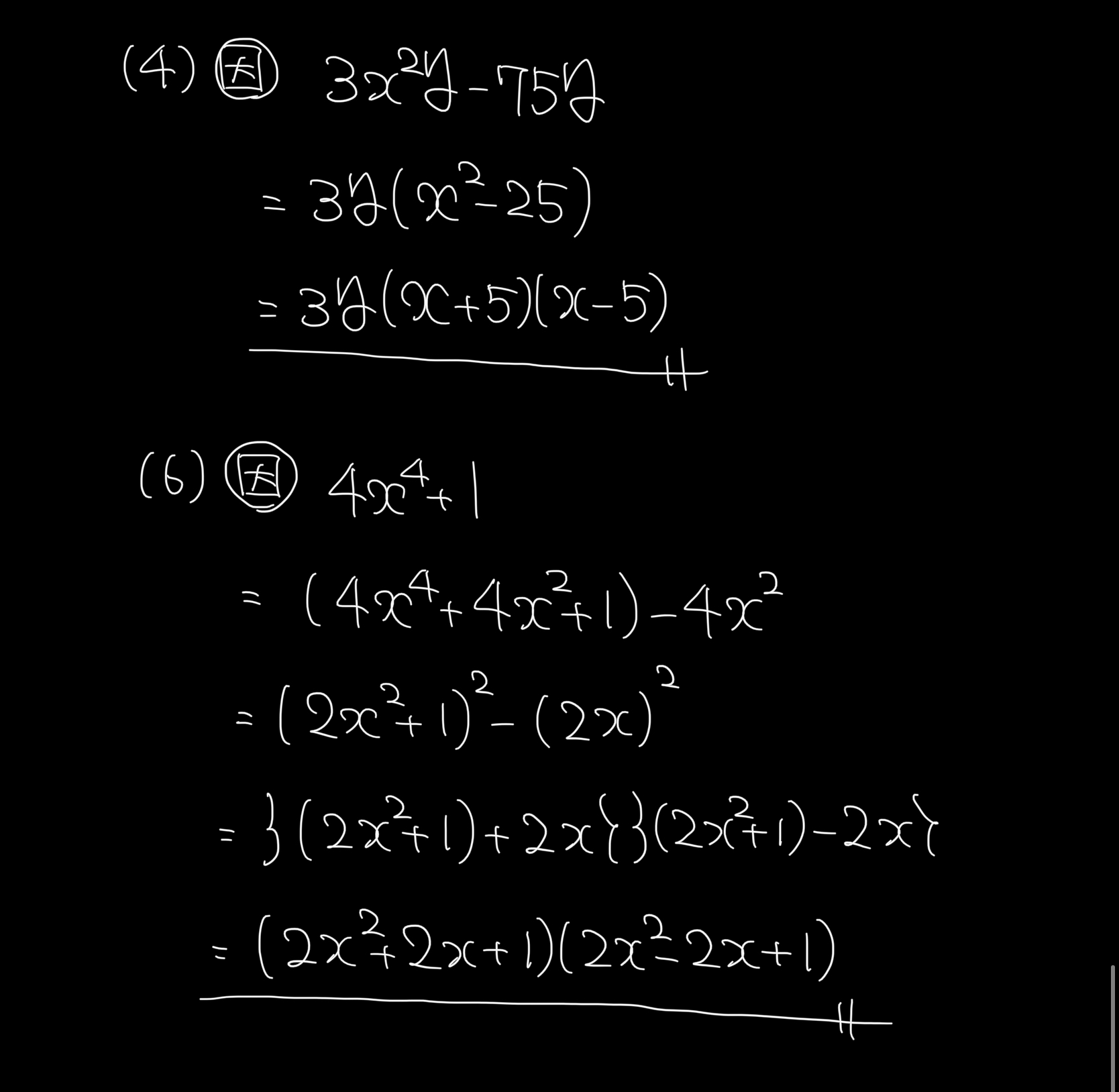
因数分解の補足
基本的に、因数分解はこのような思考の流れを持つことを意識してください。
特に、まずは共通因数でくくることを忘れたりするケースが大量発生しています。
例えば、3xy²-75x を因数分解する場合、共通因数の 3x でくくらずに「因数分解できなくね?」と悩む高校生が大量発生します。
ROUND7 (8)(10) 詳解
動画内の解答で省略したROUND7の(8)と(10)の詳解です。
ROUND8(5) ROUND9(2)(8) 詳解
ROUND8(5)↑
ROUND9(2)(8)↑



















