Follow Us!!:

アプリなら、たくさんの便利な機能が無料で使える!
今すぐアプリをダウンロードして、もっと自由に学ぼう!

履歴の確認
お気に入り・フォローの登録
通知の受け取り
ファイルの作成・追加・複製
メモの作成・確認
モチベボードの投稿
App StoreからダウンロードGoogle Playで手に入れよう
運営会社お問い合わせ利用規約プライバシーポリシー
YouTube利用規約

© 2025, okke, Inc.

物理重要公式16コンテンツを保存済み

単振り子
周期
単振動の一般解
単振動
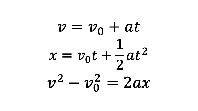
等加速度直線運動
摩擦力
浮力
仕事
仕事率
力のモーメント
運動方程式
反発係数
力積
運動量
等速円運動
遠心力