Follow Us!!:

アプリなら、たくさんの便利な機能が無料で使える!
今すぐアプリをダウンロードして、もっと自由に学ぼう!

履歴の確認
お気に入り・フォローの登録
通知の受け取り
ファイルの作成・追加・複製
メモの作成・確認
モチベボードの投稿
App StoreからダウンロードGoogle Playで手に入れよう
運営会社お問い合わせ利用規約プライバシーポリシー
YouTube利用規約

© 2025, okke, Inc.

数Ⅲ15コンテンツを保存済み

はさみうちの原理
無限等比級数
微分可能性
中間値の定理
収束
関数の連続性
ネイピア数
極形式
ウォリス積分
曲線の長さ
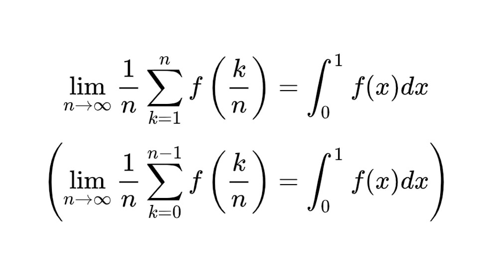
区分求積法
微分係数
平均値の定理
区分求積法
9:12
new極限特訓#7【電気通信大学/情報理工学部/後期/2023】合格への寄り道