Follow Us!!:

アプリなら、たくさんの便利な機能が無料で使える!
今すぐアプリをダウンロードして、もっと自由に学ぼう!

履歴の確認
お気に入り・フォローの登録
通知の受け取り
ファイルの作成・追加・複製
メモの作成・確認
モチベボードの投稿
App StoreからダウンロードGoogle Playで手に入れよう
運営会社お問い合わせ利用規約プライバシーポリシー
YouTube利用規約

© 2025, okke, Inc.

最難関の数学 by 林俊介

【京大2021】ちょっと珍しい問題構成!証明問題 × 2【整数・微分法】

次の動画:【東大2021】"なんとなく" ではなく,方程式の解の議論に持ち込もう【微分法】

概要

動画投稿日|2021年3月10日

動画の長さ|19:11

✅ 東大に合格したい受験生のための個別指導 (人数限定) https://hayashishunsuke.com/lp/lecture-ut/ ✅ 難関大受験生のための公式LINE:https://lin.ee/lI7n1SJ 登録者特典&受験生向けライブあり 🌟 出版社の方へ https://hayashishunsuke.com/lp/for-publishers/ 数学の書籍を執筆することに強い関心があります。 私に企画のご案内をしてくださる方は,上記ページをご覧ください。 ※これまでの著作:”100年前の東大入試数学” (KADOKAWA) ℹ️ 林俊介のプロフィール https://hayashishunsuke.com/profile/ ・栄東中→筑駒高→東大理一→東大物理学科卒 ・東大二次の数学で 9 割獲得し現役合格 ・2014年 日本物理オリンピック金賞 ・2014年 東大実戦模試物理1位 ℹ️ ご注意いただきたいこと ・解説は林俊介独自のもので,大学公式のものではありません。 ・書籍等の紹介には Amazon アソシエイトリンクを用います。 第 6 問にしては珍しく,無関係な証明問題 2 問で構成されています。 問 1 は整数の証明。因数分解の公式を注意深く観察すると,一般的に " n 乗 − n 乗"の形は因数分解が可能であることがわかり,この問題でもそれを利用します。 問 2 はグラフの接線に関する証明。教科書や問題集であまり見ないタイプの問題なので,実際の試験で完答できた人は少ないのではないでしょうか。 条件式の図形的なイメージを思い描いて,そこから証明の着想を得ることになります。 平均値の定理を用いることでスッキリ解決します。 面白い問題でしたね。 ---------- <目次> 00:00 今回は 2021 京大理系数学 [6] 00:14 問 1 因数分解の公式を思い出す 02:16 問 1 対偶を証明する方がやりやすい (かも) 03:09 問 1 n が合成数 → n = pq と書ける 04:18 問 1 3^p = A, 3^q = B とおき因数分解 05:33 問 1 積の構成要素は 2 以上 08:36 問 1 のまとめ 09:06 問 2 問題紹介 09:33 問 2 条件式の意味をスケッチ 13:04 問 2 接線の方程式の一般形 14:29 問 2 f(x)/x を考える 16:25 問 2 平均値の定理を利用 17:25 問 2 のまとめ 18:46 おわりに

タグ

#高3#レベル5#数学と人間の活動(整数)#微分(数Ⅲ)#演習

関連動画

23:40
大学入試数学解説:京大2021年理系第6問【数学I整数・III微分】Masaki Koga [数学解説]
5:37
2021京都大 整数問題(理系)鈴木貫太郎
10:16
【鬼怖】90%が間違える素数の証明(2021 京都大学改)PASSLABO in 東大医学部発「朝10分」の受験勉強cafe
11:21
素数の証明 有名問題(一橋大後期)MathLABO〜東大発「みんなでつくる」数学ベスト良問集〜(マスラボ)
15:55
【どこから出てきた】京大数学2021年度理系第6問【その関数】暇な予備校講師の解説

関連用語

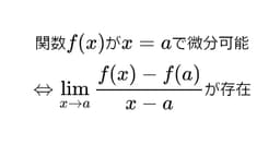
微分可能性
商の微分
交代式
平均値の定理
対偶