Follow Us!!:

アプリなら、たくさんの便利な機能が無料で使える!
今すぐアプリをダウンロードして、もっと自由に学ぼう!

履歴の確認
お気に入り・フォローの登録
通知の受け取り
ファイルの作成・追加・複製
メモの作成・確認
モチベボードの投稿
App StoreからダウンロードGoogle Playで手に入れよう
運営会社お問い合わせ利用規約プライバシーポリシー
YouTube利用規約

© 2025, okke, Inc.

Mathematics Monster

定積分の計算1:定積分の計算①《大学受験数学》

次の動画:定積分の計算2:定積分の計算②《大学受験数学》

概要

動画投稿日|2023年2月28日

動画の長さ|34:44

大学受験本当にお疲れ様でした。お世話になりました。皆さんのおかげでこの半年、撮影を頑張り続けることができました。ありがとうございます。 先日ニュースで知ったことなんですが、高校の地理の教科書に約1200か所の誤りがあったということです。その原因はコロナ禍で在宅勤務となったことで充分な校閲作業ができなかった、ということだそうです。 その教科書をたった1人で作っているわけではないかと思いますが、僕は数学の授業を撮影していて、1人の判断では何の疑問も持たないまま間違えてしまいます。どんな教材も解答も、複数人でこれでもかというほどチェックを重ねてようやくまともなものが完成します。 1人の判断では答案だけならまだしも、全ての発言まで間違えないのは不可能ですし、正直わからないことだらけです。 例えば「これは解けない」とか「こういう形でしか出題されない」とか発言するだけでも、「実は解けるかもしれない」とか「他の形で出題されるかもしれない」と不安だらけです。事実としては合っていても、表現としては間違っているなどもあるはずです。 現実的ではない時に「解けない」と言いたくても無理矢理解こうと思えば解けるときにどう伝えるか、ここを疑問に思う人もいるだろうからその疑問に対してどこまで深堀りするか、触れるべきではないかなど、まる1日以上ひたすら考え続けても、1人ではわからないことばかりです。 まとめると、できうる限り神経をすり減らして考えて解説していますが、不備は必ずあるはずです。 また撮影に専念するために、自分のすべきことが揺るがないように、コメント欄は2018年以降全く見ておりません。視聴者どうしがコメントを見れる形であれば良いかなと考えています。お許しください。 合格報告や類題が出ましたなどの報告は是非コメント欄にご記入いただけると、他の視聴者にとっても良い影響になるかと思いますので助かります。 今後も全力を尽くして参りますのでよろしくお願いいたします。

タグ

#高3#レベル3#積分(数Ⅲ)#演習

この動画を含むファイル

数学

96コンテンツを保存済み

ますもん

168コンテンツを保存済み

数3

76コンテンツを保存済み

数III

76コンテンツを保存済み

数学

116コンテンツを保存済み

関連動画

25:49
定積分の計算1:定積分の計算①《大学受験数学》Mathematics Monster
51:11
たった2時間で数3積分が無双できる動画【前編】Stardy -河野玄斗の神授業
1:29:28
たった2時間で数3積分が無双できる動画【後編】Stardy -河野玄斗の神授業
2:19:45
【全パターン網羅】数3の積分で無双して、ライバルに差をつけろ!Stardy -河野玄斗の神授業
6:13:01
【決定版】数Ⅲ積分150問を“6時間で”全パターン解説(基礎〜東大まで)PASSLABO in 東大医学部発「朝10分」の受験勉強cafe

関連用語

対数関数の積分
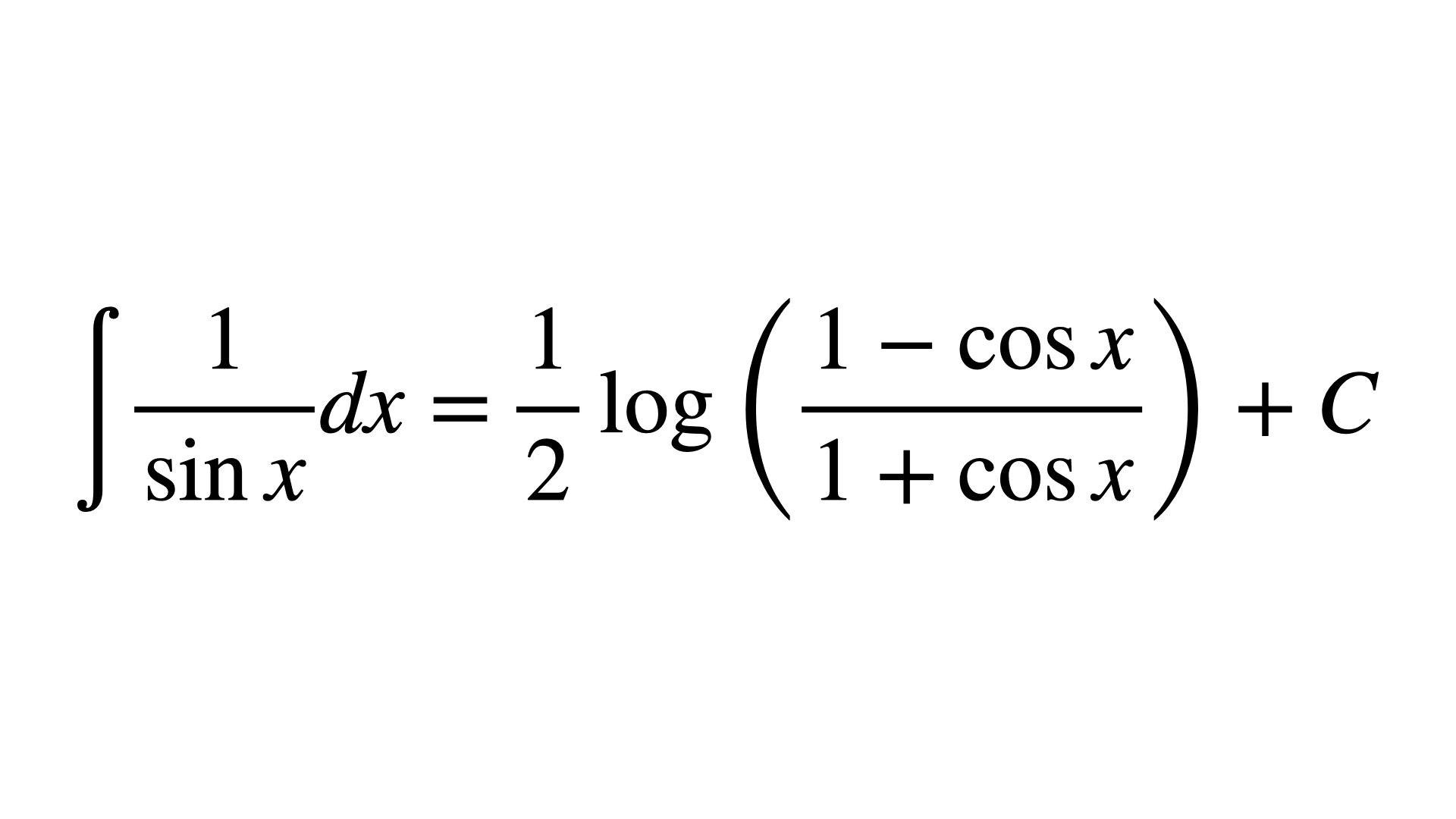
sinx分の1の積分
置換積分
tanの積分
合成関数の積分