Follow Us!!:

アプリなら、たくさんの便利な機能が無料で使える!
今すぐアプリをダウンロードして、もっと自由に学ぼう!

履歴の確認
お気に入り・フォローの登録
通知の受け取り
ファイルの作成・追加・複製
メモの作成・確認
モチベボードの投稿
App StoreからダウンロードGoogle Playで手に入れよう
運営会社お問い合わせ利用規約プライバシーポリシー
YouTube利用規約

© 2025, okke, Inc.

sinx分の1の積分

概要

の積分はノーヒントでできるようになろう。分子分母にをかけてしまえば、後はお馴染みのテクニックを駆使して求めることができる。

ここで被積分関数が (の関数)(の微分)の形になっていることに着目して とおいて置換積分してみよう。

なので、

と求められる。

補足

  • 合成関数の積分の形を見抜いて置換積分し、部分分数分解をするのがコツ。
  • 対数関数の真数部分の絶対値を忘れずに。ただし が から までの値しか取らないため、最後の行では真数部分の符号が確定し絶対値を外すことができる。
  • これくらい複雑な不定積分だと、積分定数が忘れ去られがちなので注意しよう。
  • の積分も全く同じノリで出来るので自分で計算してみよう。

別解

煩わしい部分分数分解や対数計算をすっ飛ばせる鮮やかな求め方もあるので、紹介しておこう。自力で思いつくのはまず無理である。

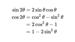
まず初めに倍角の公式を用いている。無理ゲーである。

行目から行目の変形ではの微分がであることに気づいて、関数分の導関数の積分に持ち込んでいる。これまた難しい。

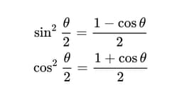
また、個目の解法と個目の解法の答えがぱっと見では違うが、半角の公式を用いて簡単に同じ答えであることが証明できるので、余力がある人はやってみよう。どちらの答え方でもマルはもらえるはず。

タグ

この用語を含むファイル

せきぶんぶん

16コンテンツを保存済み

数学

8コンテンツを保存済み

関連動画

1:29:28
たった2時間で数3積分が無双できる動画【後編】Stardy -河野玄斗の神授業
11:54
【高校数学】今週の積分#79【難易度★★★】予備校のノリで学ぶ「大学の数学・物理」
51:11
たった2時間で数3積分が無双できる動画【前編】Stardy -河野玄斗の神授業
2:19:45
【全パターン網羅】数3の積分で無双して、ライバルに差をつけろ!Stardy -河野玄斗の神授業
34:44
定積分の計算1:定積分の計算①《大学受験数学》Mathematics Monster

関連用語

合成関数の積分
部分分数分解
関数分の導関数の積分
x分の1の積分
半角の公式