Follow Us!!:

アプリなら、たくさんの便利な機能が無料で使える!
今すぐアプリをダウンロードして、もっと自由に学ぼう!

履歴の確認
お気に入り・フォローの登録
通知の受け取り
ファイルの作成・追加・複製
メモの作成・確認
モチベボードの投稿
App StoreからダウンロードGoogle Playで手に入れよう
運営会社お問い合わせ利用規約プライバシーポリシー
YouTube利用規約

© 2025, okke, Inc.

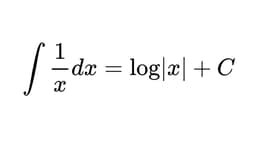
関数分の導関数の積分

概要

分子が分母の導関数、という分数の形になっている関数の積分は、 基本的にを使う。

(右辺を微分して左辺の形になることは、合成関数の微分と、絶対値を含んだ対数関数の導関数で導ける)

分子が分母の微分の形になっていることが必要で、この形になるように頑張って変形していく。

この形が見抜けると、とても気持ちがいい(個人差あり)。

例

分母の微分の形を無理やり分子に作りにいくことが必要なこともある。

(積分定数は全ての定数を含むので、は関係ない)

また、こういう一見わかりにくいものもある。わかったときの爽快感はとんでもない。

補足

他にも、部分分数分解を使うケースもある。

こういった、 分の の積分( 分の も同様)は難関大でよく出るので、マスターしておこう。

タグ

関連動画

17:22
【受験数学♯106】(数Ⅲ)積分計算⑤~分数関数~AKITOの勉強チャンネル
11:54
【高校数学】今週の積分#79【難易度★★★】予備校のノリで学ぶ「大学の数学・物理」
1:29:34
たった2時間で数3積分が無双できる動画【完結編】Stardy -河野玄斗の神授業
9:10
【高校数学】今週の積分#17【難易度★★】予備校のノリで学ぶ「大学の数学・物理」
16:36
数学「大学入試良問集」【18−9 定積分関数と微分】を宇宙一わかりやすくハクシ高校【数学科】良問演習チャンネル

関連用語

tanの積分
sinx分の1の積分
x分の1の積分
xのp乗の積分
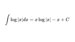
対数関数の積分