Follow Us!!:

アプリなら、たくさんの便利な機能が無料で使える!
今すぐアプリをダウンロードして、もっと自由に学ぼう!

履歴の確認
お気に入り・フォローの登録
通知の受け取り
ファイルの作成・追加・複製
メモの作成・確認
モチベボードの投稿
App StoreからダウンロードGoogle Playで手に入れよう
運営会社お問い合わせ利用規約プライバシーポリシー
YouTube利用規約

© 2025, okke, Inc.

JiroFukuda Math Channel

福田の入試問題解説〜東京大学2022年理系第5問〜立体の体積

次の動画:福田の入試問題解説〜東京大学2022年理系第6問〜複雑な反復試行の確率と確率の最大

概要

動画投稿日|2022年3月3日

動画の長さ|24:47

福田の入試問題解説です。 今回は東京大学2022年理系第5問。立体の体積の問題。 【チャンネル登録はこちらから】 https://www.youtube.com/channel/UCZtJwETNkOGeCJw7_cdJ7Yw 【ツイッターはこちらから】 https://twitter.com/fukudaTamoshop 【フェイスブックはこちらから】 https://www.facebook.com/profile.php?id=100006388443229 【福田の入試問題解説アプリ】 東京、京都、北海道、東北、筑波、千葉、一橋、東京工業、東京医科歯科、浜松医科、名古屋、大阪、神戸、九州 全14大学の入試問題、解答(静止画)、解説(動画)を過去7年収録。 入手方法(無料・アプリ内課金あり・・・最新年度のデータはすべて無料です) 入手は以下のサイトから iPhone, iPad用(Apple AppStore) https://apps.apple.com/app/福田の大学入試問題解説-数学/id1448982608?l=ja Android(Google PlayStore) https://play.google.com/store/apps/details?id=com.tamoshop.nyushikaisetsuandroid 【首都圏有名私立大学入試数学解説アプリ】 早稲田、慶應義塾、青山学院、上智、明治、立教、中央、東京慈恵会医科 全8大学の入試問題、解答(静止画)、解説(動画)を過去3年収録。 入手方法(無料・アプリ内課金あり・・・最新年度のデータはすべて無料です) 入手は以下のサイトから iPhone(Apple AppStore) https://apps.apple.com/app/福田の首都圏有名私大入試数学解説/id1496898059?l=ja Android(Google PlayStore) https://play.google.com/store/apps/details?id=com.tamoshop.nyushisidai その他の福田のアプリ 【gDraw】グラフ描画 gDraw for iPhone (250円) https://apps.apple.com/app/id689603480 gDrawLite(機能制限版)無料 https://apps.apple.com/app/gdrawlite/id792288727 gDrawPro(iPad用) 無料(アプリ内課金あり) https://apps.apple.com/app/id907360838 【分数電卓】分数計算、帯分数を含んだ計算、分数で答を出す(無料) iPhone, iPad(AppStore) https://apps.apple.com/app/id998791093 Android(GooglePlayStore) https://play.google.com/store/apps/details?id=com.tamoshop.jah02733.fraccal 【実数電卓】ルート計算、有理化も自由自在、答もルートのままで(無料) iPhone, iPad(AppStore) https://apps.apple.com/app/squarerootcalculator/id1260411892 【関数計算電卓】有理関数の値計算、分数・ルールのままで結果が出せる(無料) iPone, iPad(AppStore) https://apps.apple.com/app/functioncalculator/id1275985289 【トリプル電卓】3連電卓。3つの電卓を切り替えながら爆速計算(無料) iPhone, iPad(AppStore) https://apps.apple.com/app/triplecalculator/id1141789970 Android(GooglePlayStore) https://play.google.com/store/apps/details?id=com.tamoshop.jah02733.triplecal 【聞いて喋って覚える九九】 音声認識で練習する九九アプリ。声を出して九九をマスター!(無料・アプリ内課金あり) iPhone, iPad(AppStore) https://apps.apple.com/app/聞いて喋って覚える九九/id1420858670 Android(GooglePlayStore) https://play.google.com/store/apps/details?id=com.tamoshop.voice99android

タグ

#高3#レベル5#積分(数Ⅲ)#演習

関連動画

11:12
【間違ってたら】東大理系数学2022年度第5問【ごめんなさい】暇な予備校講師の解説
13:22
【東京大学】2022年 前期(理系)第5問 Part2*「ただよび」理系チャンネル
16:13
【東京大学】2022年 前期(理系)第5問 Part1*「ただよび」理系チャンネル
18:34
2016年 東大 理系 第6問【過去問解説】AKITOの勉強チャンネル
4:13
【2022年理科第5問】予備校2.0

関連用語

順像法
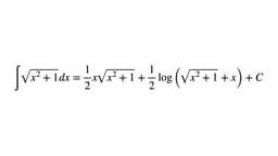
√x^2+1の積分
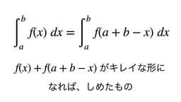
King Property
置換積分
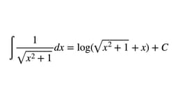
√x^2+1分の1の積分