Follow Us!!:

アプリなら、たくさんの便利な機能が無料で使える!
今すぐアプリをダウンロードして、もっと自由に学ぼう!

履歴の確認
お気に入り・フォローの登録
通知の受け取り
ファイルの作成・追加・複製
メモの作成・確認
モチベボードの投稿
App StoreからダウンロードGoogle Playで手に入れよう
運営会社お問い合わせ利用規約プライバシーポリシー
YouTube利用規約

© 2025, okke, Inc.

AKITOの勉強チャンネル

2016年 東大 理系 第6問【過去問解説】

次の動画:2016年 東大 文系 第2問【過去問解説】

概要

動画投稿日|2019年8月12日

動画の長さ|18:34

チャンネル登録や高評価いただけると大変励みになります! ■ファンレターやプレゼントの宛先はこちら 〒153-0042 東京都目黒区青葉台3-6-28 住友不動産青葉台タワー2F 株式会社Kiii AKITO宛 ※冷蔵・冷凍が必要な、なま物の受付はできません。 ■お仕事のご依頼等 cube@kiii.co.jp チャンネル登録をお願いします。 https://www.youtube.com/channel/UC95yR8Sk5cmPxd6qfmYYSMw 暇つぶしチャンネルもやっております。 https://www.youtube.com/channel/UCaxwDBrgLmFQE_Eu3MxZrxw Twitter(@Akito_ut)のフォローもお願いします。 https://twitter.com/Akito_ut

タグ

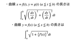
#高3#レベル5#空間ベクトル#積分(数Ⅲ)#演習

関連動画

13:04
東大数学 2016年 理科 第6問東大入試ドットコム
27:46
【過去問解説】2017年 東大 理系 第6問AKITOの勉強チャンネル
11:13
【間違ってたら】東大理系数学2022年度第5問【ごめんなさい】暇な予備校講師の解説
16:56
東大数学 2017年 理科 第6問東大入試ドットコム
21:06
2次曲線15:極方程式①《京都大2009年》Mathematics Monster

関連用語

置換積分
媒介変数表示
x分の1の積分
三角比の公式