Follow Us!!:

アプリなら、たくさんの便利な機能が無料で使える!
今すぐアプリをダウンロードして、もっと自由に学ぼう!

履歴の確認
お気に入り・フォローの登録
通知の受け取り
ファイルの作成・追加・複製
メモの作成・確認
モチベボードの投稿
App StoreからダウンロードGoogle Playで手に入れよう
運営会社お問い合わせ利用規約プライバシーポリシー
YouTube利用規約

© 2025, okke, Inc.

数A 学年末テスト7コンテンツを保存済み

範囲 学年末テスト

三角形の成立条件
内接円の半径
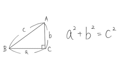
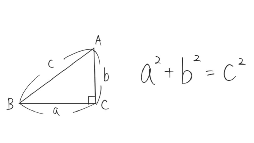
三平方の定理
チェバの定理
メネラウスの定理
方べきの定理
接弦定理