Follow Us!!:

アプリなら、たくさんの便利な機能が無料で使える!
今すぐアプリをダウンロードして、もっと自由に学ぼう!

履歴の確認
お気に入り・フォローの登録
通知の受け取り
ファイルの作成・追加・複製
メモの作成・確認
モチベボードの投稿
App StoreからダウンロードGoogle Playで手に入れよう
運営会社お問い合わせ利用規約プライバシーポリシー
YouTube利用規約

© 2025, okke, Inc.

暇な予備校講師の解説

【全問】慶應理工物理2022年度速報版【解説】

次の動画:【全問】慶應理工化学2022年度速報版【解説】

概要

動画投稿日|2022年2月14日

動画の長さ|40:23

・慶應理工物理2022年度の全問解説です。 ・どの問題もかなり易しい設問から始まる印象。 ・第1問(2),第3問(2)で差がつくのではないでしょうか。 #慶應 #慶應理工 #物理 #大学入試 #過去問解説 #解答速報 00:00 第1問問題文① 00:05 第1問問題文② 00:10 第1問(1)(ア)~(ウ) 02:28 第1問(1)(エ)(3)(ク) 05:20 第1問問題文③ 05:25 第1問(2)(オ) 10:49 第1問(2)(カ) 11:56 第1問問題文④ 12:01 第1問(3)(キ) 13:11 第2問問題文① 13:16 第2問問題文② 13:21 第2問(1)(ア)~(エ) 16:18 第2問(1)(オ)(カ) 19:05 第2問問題文③ 19:10 第2問(2)(キ)~(ケ) 24:57 第3問問題文① 25:02 第3問(1)(ア)~(ウ) 28:20 第3問問題文② 28:25 第3問(2)(エ)(オ) 32:52 第3問(2)(カ) 34:47 第3問(2)(キ) 37:48 第3問(2)(ク)

タグ

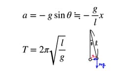
#高3#レベル4#単振動#力積と運動量#電磁誘導#コンデンサー#光波#演習

関連動画

25:22
【誘電体から】東工大物理2021年度第2問【手を放す】暇な予備校講師の解説
32:40
早稲田理工物理2024年度第3問暇な予備校講師の解説
19:01
【穴の開いた】早稲田理工物理2021年度第3問【コンデンサー】暇な予備校講師の解説
37:03
2021 東京大物理 第2問解説細川JPの高校物理
26:16
早稲田理工物理2024年度第1問暇な予備校講師の解説

関連用語

単振り子
誘電率
ニュートンリング
固有周波数
薄膜による干渉