Follow Us!!:

アプリなら、たくさんの便利な機能が無料で使える!
今すぐアプリをダウンロードして、もっと自由に学ぼう!

履歴の確認
お気に入り・フォローの登録
通知の受け取り
ファイルの作成・追加・複製
メモの作成・確認
モチベボードの投稿
App StoreからダウンロードGoogle Playで手に入れよう
運営会社お問い合わせ利用規約プライバシーポリシー
YouTube利用規約

© 2025, okke, Inc.

AKITOの勉強チャンネル

【受験数学♯88】直線

次の動画:【受験数学♯89】円

概要

動画投稿日|2017年11月9日

動画の長さ|35:51

チャンネル登録をお願いします。 https://www.youtube.com/channel/UC95yR8Sk5cmPxd6qfmYYSMw 暇つぶしチャンネルもやっております。 https://www.youtube.com/channel/UCaxwDBrgLmFQE_Eu3MxZrxw Twitter(@Akito_ut)のフォローもお願いします。 https://twitter.com/Akito_ut

タグ

#高2#レベル3#平面ベクトル#図形と方程式#講義

この動画を含むファイル

高校数学

277コンテンツを保存済み

関連動画

23:31
ベクトル① 第1-2講 平行、直交、単位ベクトル(東大医学部の解説動画)ガチでノビる受験数学 東大医学部の解説動画
17:42
【受験数学♯97】円と接線AKITOの勉強チャンネル
6:02
法線ベクトルってなんじゃ?(東大医学部(理3)の解説動画)ガチでノビる受験数学 東大医学部の解説動画
6:42
【公式導出シリーズ】点と直線の距離の公式最難関の数学 by 林俊介
21:48
法線ベクトルを使いこなそう!|ベクトルの頻出問題⑫【良問 100/100】+今後の話ぶおとこばってん

関連用語

2直線の平行条件
点と直線の距離
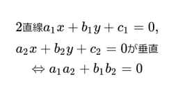
2直線の垂直条件
垂直条件
平行条件