Follow Us!!:

アプリなら、たくさんの便利な機能が無料で使える!
今すぐアプリをダウンロードして、もっと自由に学ぼう!

履歴の確認
お気に入り・フォローの登録
通知の受け取り
ファイルの作成・追加・複製
メモの作成・確認
モチベボードの投稿
App StoreからダウンロードGoogle Playで手に入れよう
運営会社お問い合わせ利用規約プライバシーポリシー
YouTube利用規約

© 2025, okke, Inc.

ぶおとこばってん

明日から使える式変形!①展開と因数分解の俯瞰【深掘り高校数学】

次の動画:明日から使える式変形!②できる人がやってる展開の工夫【深掘り高校数学】

概要

動画投稿日|2020年12月5日

動画の長さ|14:21

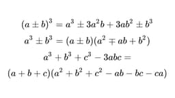
なかなかマスターしにくい「式変形」を、深く理解して慣れましょう!まずは展開と因数分解が、どういう場面で登場するか、どういう役に立つか、考えてみたいと思います(高校数学終えた方向けです!)。 ②展開の工夫:https://okedou.app/videos/x48Du1PiujA ③因数分解の道具を整理:https://okedou.app/videos/iYBawtvKg-g ★★ 授業動画・公式・学び方について、単元別・レベル別に必要なものを検索できる、勉強アプリ「okke オッケ!」ができました。これから皆さんと進化するので、是非感想など教えてください! 【iPhone / iPad】https://apps.apple.com/jp/app/okke/id1540697607 【Android】https://play.google.com/store/apps/details?id=com.spesden.okke ※okedou / okedic / okenavi の統合版です 0:00 目次&目的 2:30 展開と因数分解の定義・効果 4:02 展開の使いどころと例外 10:35 因数分解の使いどころと例外 13:21 エピローグ #展開と因数分解 #いつ使う? #なぜ使う? ------------------------------------------- 「高2でわかる旧帝大入試数学解説(1A2B)」シリーズやってます <目的> ①実際の問題で「初見での思考力」「計算の工夫」に慣れる(社会でも役立つ!) ②ふらっとチャレンジできて、モチベーションを上げる ※ここで紹介している解説は,大学が公表したものではありません。難易度も完全に主観です。 ※3日に1本くらいのペースで出しています! ※東大・京大は、尊敬するAKITOさんや古賀真輝さんが、圧倒的なクオリティの動画を出されているので扱いません。このシリーズでは、北大・東北大・名大・阪大・九大の過去問を扱う予定です。 シリーズの目的・使い方はこちら:https://okedou.app/videos/d72q1DXwYVU 分野やレベルごとの動画検索はokedouで出来ます:https://okedou.app/ 公式の証明・確認はokedicで:https://okedic.app/ ------------------------------------------- 受験数学1A2Bの定番の良問を独学でも勉強できる「良問演習シリーズ100選」がついに完結しました(数学1A:31問、数学2B:69問)。 解法暗記に頼らないための考え方・論理の筋が通った答案の書き方を、1問の良問に凝縮させてじっくりと解説しています。 良問100選の全リストはこちらです: 数学1A(31問)https://okedou.app/playlist/3e1e2951-32a5-4fa6-881e-81198cb28f7a 数学2B(69問)https://okedou.app/playlist/320755dc-17c4-4154-a0f9-c672c6dba9ba #定番の良問100選 シリーズの目的・使い方はこちら:https://okedou.app/videos/d72q1DXwYVU 分野やレベルごとの動画検索はokedouで出来ます:https://okedou.app/ 公式の証明・確認はokedicで:https://okedic.app/ <良問演習シリーズの目的> ①単元ごとに、誤解しやすい、つまづきやすいポイントを詳しく学ぶ ②記述の答案の書き方に慣れる ➡︎ 上の入試数学解説の土台という位置付けです ------------------------------------------- 高評価やチャンネル登録を頂けるととても嬉しいです。質問も全力で返します。皆さまが勉強しやすくなるように改善していきますので、よろしくお願いします! Twitter(@b_battenn)のフォローも是非よろしくお願いします。 https://twitter.com/b_battenn

タグ

#高3#レベル3#数と式#講義

この動画を含むファイル

公式

56コンテンツを保存済み

関連動画

27:42
名古屋大学2019理系第1問でじっくり学ぶ (数学III特講・積分/体積⑧)ぶおとこばってん
15:54
2019 山形大-工 小問集合 無限級数 ド・モアブル 整数問題 良問で学ぶ高校数学part10 #106ぱた/高校数学
2:47
大学受験の数学 (教科書レベル+)008 自治医科大学高校数学補習
19:50
【受験数学演習#35】(数Ⅲ)分数関数の積分計算AKITOの勉強チャンネル
1:29:28
たった2時間で数3積分が無双できる動画【後編】Stardy -河野玄斗の神授業

関連用語

合成関数の積分
部分分数分解
関数分の導関数の積分
解の公式
積の微分