Follow Us!!:

アプリなら、たくさんの便利な機能が無料で使える!
今すぐアプリをダウンロードして、もっと自由に学ぼう!

履歴の確認
お気に入り・フォローの登録
通知の受け取り
ファイルの作成・追加・複製
メモの作成・確認
モチベボードの投稿
App StoreからダウンロードGoogle Playで手に入れよう
運営会社お問い合わせ利用規約プライバシーポリシー
YouTube利用規約

© 2025, okke, Inc.

ぶおとこばってん

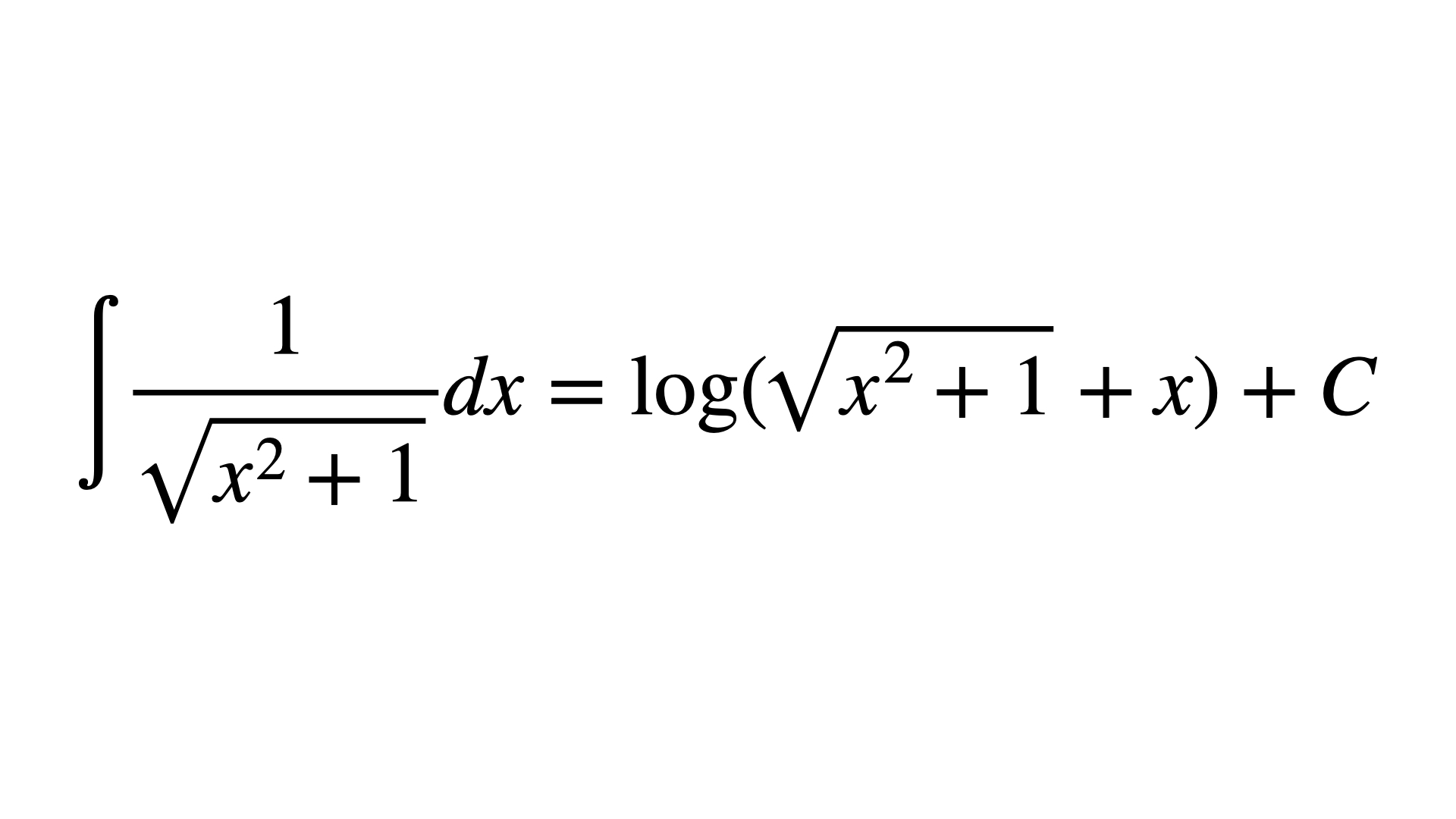
工夫が必要な置換積分②〜ルートx^2+1〜 (数学III特講・積分/計算と方程式②)

次の動画:九州大学2019理系第1問でじっくり学ぶ (数学III特講・積分/計算と方程式④) ※概要欄に訂正あり

概要

動画投稿日|2021年5月14日

動画の長さ|32:43

独学でも深く学べる演習シリーズ、数学III特講です。 一度は学んでおいた方が良い発展的な積分計算、ルート1+x^2の置換積分の方法について、詳しく解説しました!双曲線関数の話も含めて、「なぜ思いつくのか」という部分を深くじっくり理解できます。 講義ノートはokenaviでダウンロードできます:https://okenavi.app/post/math-3-intcal-2 【参考動画】 前回の動画:https://okedou.app/videos/QJ780DjuVcs 良問演習63問(領域上の最大最小の考え方):https://okedou.app/videos/h6Kov1pmko8 【このセクションの他の動画】 https://okedou.app/playlist/9b7964eb-e960-4327-ad5d-926c4800c44b ★★授業動画・公式・学び方について、単元別・レベル別に知りたいことをどんどん学べる、勉強アプリ「okke オッケ!」作ってます。勉強の重い腰が上がらないときや、自分で先取り・復習したいときに全国の高校生が使ってます。 【iPhone / iPad】https://apps.apple.com/jp/app/okke/id1540697607 【Android】https://play.google.com/store/apps/details?id=com.spesden.okke ※okedou / okedic / okenavi の統合版です 0:00 冒頭 1:16 試行錯誤 2:36 詳説 (1) 6:48 詳説 (2) 11:40 詳説 (3) 15:52 詳説 (置換の背景について) 26:53 詳説 (おまけ) 31:26 エピローグ #数学III #積分 #僕の屍を超えていってください ------------------------------------------- ★「数学Ⅲ特講」シリーズ (良問演習:39問、過去問:34問) 教科書レベルを終えた方を対象とした、数学Ⅲの各単元ごとに、 ✔️ 正しく理解して正しく記述できるようになるための「良問演習」 ✔️ 初見への対応力と処理の工夫を身につける「旧帝大入試数学解説」 で学ぶことができるシリーズです。 数学Ⅲ特講の全リストはこちらです: https://okedou.app/playlist/1223e4f5-41d2-4d18-8e3d-05a5c5a1b89f シリーズの目的・使い方はこちら:https://okedou.app/videos/sqI86CYnitg ------------------------------------------- ★「旧帝大入試数学解説」シリーズ 初見での対応力と処理の工夫を身につけることを目的とした、実践的な演習シリーズです。良問演習のあとに是非。(2018-2020年分) 北海道大学:https://okedou.app/playlist/1882ef3b-ec61-467c-bdd7-dc76fafc199c 東北大学:https://okedou.app/playlist/c7554887-c090-4437-8378-fd09950e2db5 名古屋大学:https://okedou.app/playlist/be560b12-73ad-4c84-8a43-7400562daeb1 大阪大学:https://okedou.app/playlist/2f45400f-0196-47ce-b630-10e92645e1aa 九州大学:https://okedou.app/playlist/872a79a0-b56f-4619-9dcd-89ec2684774f ※ここで紹介している解説は,大学が公表したものではありません。難易度も完全に主観です。 ※東大・京大は、すでにクオリティのとても高い動画が出されているので扱いません。このシリーズでは、北大・東北大・名大・阪大・九大の過去問を扱っています。 シリーズの目的・使い方はこちら:https://okedou.app/videos/d72q1DXwYVU ------------------------------------------- ★「良問100選」シリーズ (数学1A:31問、数学2B:69問) 数学1A2Bの誤解しやすいポイントを正しく理解して、正しく記述できるようになるための、単元別の良問解説シリーズです。過去問解説の土台になります。 良問100選の全リストはこちらです: 数学1A(31問)https://okedou.app/playlist/3e1e2951-32a5-4fa6-881e-81198cb28f7a 数学2B(69問)https://okedou.app/playlist/320755dc-17c4-4154-a0f9-c672c6dba9ba シリーズの目的・使い方はこちら:https://okedou.app/videos/d72q1DXwYVU ------------------------------------------- 分野やレベルごとの動画検索や、公式の証明・確認は全てアプリokkeでできますので是非: https://www.spesden.com/okke 高評価やチャンネル登録を頂けるととても嬉しいです。質問も全力で返します。皆さまが勉強しやすくなるように改善していきますので、よろしくお願いします! Twitter(@b_battenn)のフォローも是非よろしくお願いします。 https://twitter.com/b_battenn

タグ

#高3#レベル4#積分(数Ⅲ)#演習

関連動画

10:48
【よく出る定積分】解法3通り! IとJの関係式は? 2つセットで求まるたてぃこ
30:28
【九州帝國大學】100年前もあった有名積分!3つの攻略法【戦前入試問題】最難関の数学 by 林俊介
25:46
【京都帝國大學】放物線の長さは?【戦前入試問題】最難関の数学 by 林俊介
17:58
カテナリー(懸垂線)の性質と双曲線関数の紹介【深掘り高校数学】ぶおとこばってん
26:27
#200 難関大学入試問題解説 2019東京都立大入試 数Ⅲ 双曲線と面積【数検1級/準1級/中学数学/高校数学/数学教育】JJMO JMO IMO Math Olympiad Problems楽しい数学の世界へ

関連用語

√x^2+1の積分
置換積分
部分積分
双曲線
√x^2+1分の1の積分