おはこんばんは、ぱたです。
今回は円周率 π の近似値を計算する方法とその歴史を、大学入試の過去問をベースに紹介していく記事の後編です。
前編をまだご覧になっていない方は、是非ご覧ください!
👉 「大学入試からみる円周率の歴史 【数学者たちの努力の結晶】前編」を見る
それでは早速円周率の歴史を見ていきましょう。
円周率評価の歴史(後編)
16,17世紀ごろになると、級数や積分、不等式など様々な方法で円周率が評価されていきました。
中には「なんでそんな式思いついたの??」と思ってしまうようなユニークで天才的な方法も散見されます。
今回はその中でも入試問題で扱われたものを紹介していきます。
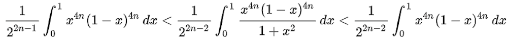
積分による円周率評価①(2019 埼玉大 後期)

この問題はあまりよく知られていない問題ですが、取り扱われている不等式は円周率が22/7より小さいことの証明としてよく知られています。
ちなみにこの不等式は一般化することができます。
この一般化された不等式は1990年代頃に初めて論文で公開された比較的新しいものです。
埼玉大学の入試問題で扱われているのはn=1のときのものであるので一番計算が容易な場合が扱われているわけですが、
それですら小数第2位まで正確に評価できるということから、いかにこの不等式が円周率評価に関して強力な道具かがよくわかります。
この積分計算はとても簡単なもので、数Ⅲ教科書レベルの積分を習得していれば計算することができます。
ただ具体的な数値の計算が程よく、興味のある人は(2)の積分計算だけでも十分楽しめると思いますから
是非チャレンジしてみてください!
積分による円周率評価②(2013 大阪大学 挑戦入試)

この問題は受験数学界では割と伝説になった有名問題です。
(2)に問われている通り、この問題では円周率を小数第3位まで正確に評価しなければならないです。
しかも用いてよい√3の不等式の桁数を見るに、(2)では地獄の計算が待っていることが予想されますが…
残念ながらその予想は的中し、上の画像のような地獄の計算をしなければなりません。まさに「挑戦」入試です。
この不等式がいつ頃発見されたのかは調べても出てこなかったので不明ですが、
先ほどの埼玉大学の入試問題のものと形が似ていることから同じくらいの年代に発見されたものと考えられます。
計算機による効率的な計算を求めて(現代における円周率評価)
現代の円周率評価はスーパーコンピューターによる計算が主流で、2020年に303日をかけて50兆桁まで計算したという記録が
現在の最高記録です。
50兆桁まで正確に評価するメリットがどこにあるのかは勉強不足なので不明…(笑)
円周率評価は計算に用いるコンピューターの計算処理速度が上がれば上がるほどより多くの桁まで計算できると
思われがちですが、(まぁそれは正しいのですが)実はどんな式を用いて計算させるかというのも重要です。
例えば今回の記事で扱った評価方法でいえば、少ない計算でより多くの桁を求めるためには埼玉大学の入試問題に使われた
不等式が適切です。
今でも、より効率的な計算方法を求めて多くのチームが研究をしています。今回はその一部を紹介して終わることにします。
(1995:カナダのサイモン・フレーザー大学の研究チームによる)
(1999: 埼玉大学の研究チームによる、この功績があるから埼玉大学で円周率評価の問題を出したのかなぁ??)
なんで思いつくんだこんな式!!!!!
まとめ
今回は前編と後編に分けて、大学入試で出題された円周率評価の問題を見てきました。
👉 「大学入試からみる円周率の歴史 【数学者たちの努力の結晶】前編」を見る
いざまとめてみると、色々な大学で円周率に関する問題が出ているんだなぁと思いました。
今回紹介したような円周率の近似値の問題のほかに、円周率が無理数であることを証明させる問題なども散見されます。
受験数学界でも円周率って愛されてるんですね。。。
そして、受験難易度の高い大学ほど原始的な方法で出題しているというとても興味深いことが分かります。
図形を用いるような評価方法の方が、想像力や発想力を必要とするわけですから難しいしクリエイティブな問題なわけです。
大学によって求めている生徒像というのは当然違うわけで、例えば今回で言えば
東京大学:正八角形による評価のような、その場でも思いつきうる解法で解けるような問題、発想力や想像力豊かな学生を求める
お茶の水女子大学:誘導に乗る力、高度な数式処理能力が必要な問題、論理力や高度な計算力のある学生を求める
大阪大学(挑戦入試):超高度な計算処理能力が必要な問題、まさに「挑戦」。並外れた能力を持つ学生を求める
埼玉大学:基本的な積分計算と不等式評価が必要な問題、標準レベルの高校数学が身についている学生を求める
(あくまで私見です)
といったような思惑を感じます。
(こういったことを考察するのが受験数学を研究していて一番楽しい瞬間です。)
今回紹介した方法のほかにも、針を上から落としまくって円周率の近似をする方法など、とても面白い方法がありますから
興味のある方はぜひ調べてみてください!!
youtube: 「ぱた/高校数学」
チャンネル登録よろしくお願いします!




