Follow Us!!:

アプリなら、たくさんの便利な機能が無料で使える!
今すぐアプリをダウンロードして、もっと自由に学ぼう!

履歴の確認
お気に入り・フォローの登録
通知の受け取り
ファイルの作成・追加・複製
メモの作成・確認
モチベボードの投稿
App StoreからダウンロードGoogle Playで手に入れよう
運営会社お問い合わせ利用規約プライバシーポリシー
YouTube利用規約

© 2025, okke, Inc.

せきぶんぶん16コンテンツを保存済み

tanθ/2で置換
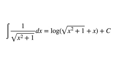
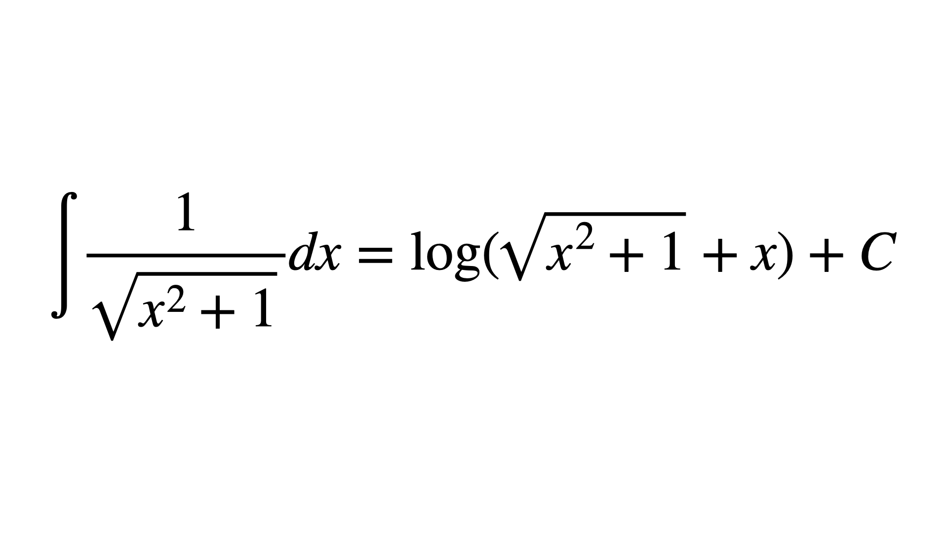
√x^2+1分の1の積分
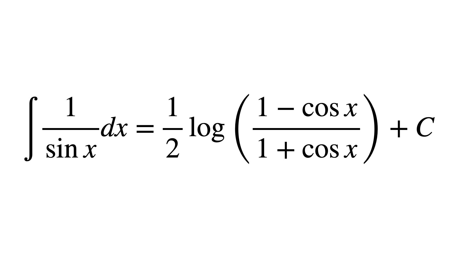
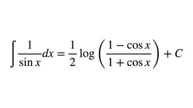
sinx分の1の積分
ウォリス積分
区分求積法
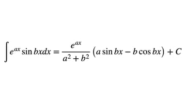
指数関数×三角関数の積分
偶関数の積分
13:50
【高校数学】今週の積分#38【難易度★★★★★】予備校のノリで学ぶ「大学の数学・物理」
8:34
【高校数学】今週の積分#5【難易度★★★】予備校のノリで学ぶ「大学の数学・物理」
5:28
【高校数学】今週の積分#15【難易度★★】予備校のノリで学ぶ「大学の数学・物理」
17:06
【高校数学】今週の積分#42【難易度★★★★】予備校のノリで学ぶ「大学の数学・物理」
4:30
【高校数学】今週の積分#45【難易度★★★】予備校のノリで学ぶ「大学の数学・物理」
5:53
【高校数学】今週の積分#47【難易度★★】予備校のノリで学ぶ「大学の数学・物理」
10:24
【高校数学】今週の積分#48【難易度★★★★】予備校のノリで学ぶ「大学の数学・物理」
15:37
【高校数学】今週の積分#54【難易度★★★★★】予備校のノリで学ぶ「大学の数学・物理」
22:55
【高校数学】King Propertyの使い方と図形的意味予備校のノリで学ぶ「大学の数学・物理」