Follow Us!!:

アプリなら、たくさんの便利な機能が無料で使える!
今すぐアプリをダウンロードして、もっと自由に学ぼう!

履歴の確認
お気に入り・フォローの登録
通知の受け取り
ファイルの作成・追加・複製
メモの作成・確認
モチベボードの投稿
App StoreからダウンロードGoogle Playで手に入れよう
運営会社お問い合わせ利用規約プライバシーポリシー
YouTube利用規約

© 2025, okke, Inc.

PASSLABO in 東大医学部発「朝10分」の受験勉強cafe

【Twitterで話題】数学弱者は使用禁止?!世界で有名なフリーwifiが衝撃すぎたwww

次の動画:【難問を5秒で解く】Wallis Integralの美しい証明

概要

動画投稿日|2021年9月1日

動画の長さ|9:30

ロンドンや中国、メルボルンなど世界各国で 発見された旨がTwitterに上がっていました! 全ては”積分全パターン解説のQuest13”です。 ぜひ困ったら見てみてください。 https://www.youtube.com/watch?v=XdCwr54ZSKU 今日のパスチャレはこちら↓ https://note.com/pfsbr123 ~~~~~~~~ ■ 東大現役合格→トップ成績で医学部に進学した僕の超戦略的勉強法 (宇佐見天彗+PASSLABO著) https://amzn.to/2FOboO3 全国の書店でもご購入いただけます。 ■ 早期購入者特典受け取りフォーム(2020年10月24日まで) https://forms.gle/hENMLjpHi9E6tdeUA ↑ このフォームからしか受け取れません。 お手元に書籍が届いてからご記入ください。 ■サイン本プレゼント企画 (2020年10月3日まで) https://twitter.com/todai_igakubu/status/1309825096735809539?s=20 ■試し読みはこちら https://twitter.com/todai_igakubu/status/1309433000833159168?s=20 ~~~~~~~~~~~~~~~~ ■東大医学部発「朝10分」の受験勉強cafe PASSLABOのチャンネル登録 → https://www.youtube.com/channel/UC7ly4Q6oT3rcdOKQcQVvMgg?sub_confirmation=1 ■東大生たちと一緒に勉強したい方必見! 公式LINE@登録はコチラから → http://line.me/R/ti/p/@subaru_todai (勉強法や質問相談はLINE LIVEにて配信予定!!) ====== 【君のコメントが、動画に反映されるかも!】 問題の解説希望やリクエストあれば、好きなだけ載せてください。 1つ1つチェックして、役立つものは動画にしていきますね^ ^ ====== ■偏差値43から東大合格までの勉強法がまとめて知りたい方 → https://amzn.to/2GRW3tL ■公式Twitterはコチラ → https://twitter.com/todai_igakubu =========== ■PASSLABOメンバー情報(note) *気になるメンバーのnoteをチェック!! 「1」宇佐見すばる 東大医学部 / PASSLABO室長 → https://note.mu/pfsbr123/n/nb6fe7782cef8 「2」くぁない 早稲田 / PASSLABO切り込み隊長 → https://note.mu/pfsbr123/n/n5f377ebad8d2 「3」あいだまん 東大逆転合格/ PASSLABO歌のお兄さん → https://note.mu/pfsbr123/n/n410cc19c6d54 「4」くまたん 東大文一1点落ち?/PASSLABO癒しキャラ → https://note.mu/pfsbr123/n/n429b06b1d9b4 =========== #PASSLABO #東大医学部発 #概要欄も見てね♪ 朝6時半にほぼ毎日投稿! 一緒に動画で朝活しよう

タグ

#高3#レベル4#積分(数Ⅲ)#演習

関連動画

6:13:01
【決定版】数Ⅲ積分150問を“6時間で”全パターン解説(基礎〜東大まで)PASSLABO in 東大医学部発「朝10分」の受験勉強cafe
7:16
【京大2008】積分の不等式|大学入試 数学 過去問最難関の数学 by 林俊介
22:14
名古屋大学2020文系第1問でじっくり学ぶ(微積分)ぶおとこばってん
10:18
積分の最終確認【受験生へ】MathLABO〜東大発「みんなでつくる」数学ベスト良問集〜(マスラボ)
8:30
【東京医科大2022】絶対値をはずしたい~②たてぃこ

関連用語

奇関数の積分
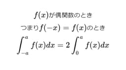
偶関数の積分
奇関数
偶関数