Follow Us!!:

アプリなら、たくさんの便利な機能が無料で使える!
今すぐアプリをダウンロードして、もっと自由に学ぼう!

履歴の確認
お気に入り・フォローの登録
通知の受け取り
ファイルの作成・追加・複製
メモの作成・確認
モチベボードの投稿
App StoreからダウンロードGoogle Playで手に入れよう
運営会社お問い合わせ利用規約プライバシーポリシー
YouTube利用規約

© 2025, okke, Inc.

JiroFukuda Math Channel

福田の数学〜慶應義塾大学2022年総合政策学部第1問〜ガウス記号を含む数列の和

次の動画:福田の数学〜慶應義塾大学2022年総合政策学部第2問〜デコボコ数を数える

概要

動画投稿日|2022年7月2日

動画の長さ|12:02

福田の数学です。 今回は慶應義塾大学2022年総合政策学部第1問。ガウス記号を含む数列の和の問題。 【チャンネル登録はこちらから】 https://www.youtube.com/channel/UCZtJ... 【ツイッターはこちらから】 https://twitter.com/fukudaTamoshop 【フェイスブックはこちらから】 https://www.facebook.com/profile.php?id=100006388443229 【福田の入試問題解説アプリ】 東京、京都、北海道、東北、筑波、千葉、一橋、東京工業、東京医科歯科、浜松医科、名古屋、大阪、神戸、九州 全14大学の入試問題、解答(静止画)、解説(動画)を過去7年収録。 入手方法(無料・アプリ内課金あり・・・最新年度のデータはすべて無料です) 入手は以下のサイトから iPhone, iPad用(Apple AppStore) https://apps.apple.com/app/福田の大学入試問題解説-数学/id1448982608?l=ja Android(Google PlayStore) https://play.google.com/store/apps/details?id=com.tamoshop.nyushikaisetsuandroid 【首都圏有名私立大学入試数学解説アプリ】 早稲田、慶應義塾、青山学院、上智、明治、立教、中央、東京慈恵会医科 全8大学の入試問題、解答(静止画)、解説(動画)を過去3年収録。 入手方法(無料・アプリ内課金あり・・・最新年度のデータはすべて無料です) 入手は以下のサイトから iPhone(Apple AppStore) https://apps.apple.com/app/福田の首都圏有名私大入試数学解説/id1496898059?l=ja Android(Google PlayStore) https://play.google.com/store/apps/details?id=com.tamoshop.nyushisidai その他の福田のアプリ 【gDraw】グラフ描画 gDraw for iPhone (250円) https://apps.apple.com/app/id689603480 gDrawLite(機能制限版)無料 https://apps.apple.com/app/gdrawlite/id792288727 gDrawPro(iPad用) 無料(アプリ内課金あり) https://apps.apple.com/app/id907360838 【分数電卓】分数計算、帯分数を含んだ計算、分数で答を出す(無料) iPhone, iPad(AppStore) https://apps.apple.com/app/id998791093 Android(GooglePlayStore) https://play.google.com/store/apps/details?id=com.tamoshop.jah02733.fraccal 【実数電卓】ルート計算、有理化も自由自在、答もルートのままで(無料) iPhone, iPad(AppStore) https://apps.apple.com/app/squarerootcalculator/id1260411892 【関数計算電卓】有理関数の値計算、分数・ルールのままで結果が出せる(無料) iPone, iPad(AppStore) https://apps.apple.com/app/functioncalculator/id1275985289 【トリプル電卓】3連電卓。3つの電卓を切り替えながら爆速計算(無料) iPhone, iPad(AppStore) https://apps.apple.com/app/triplecalculator/id1141789970 Android(GooglePlayStore) https://play.google.com/store/apps/details?id=com.tamoshop.jah02733.triplecal 【聞いて喋って覚える九九】 音声認識で練習する九九アプリ。声を出して九九をマスター!(無料・アプリ内課金あり) iPhone, iPad(AppStore) https://apps.apple.com/app/聞いて喋って覚える九九/id1420858670 Android(GooglePlayStore) https://play.google.com/store/apps/details?id=com.tamoshop.voice99android

タグ

#高3#レベル4#数列#演習

関連動画

14:28
福田の数学〜中央大学2022年経済学部第3問〜下一桁が一致する整数と下二桁が一致する整数JiroFukuda Math Channel
8:45
【慶応大2022】実験してみると・・・ガウス記号と数列たてぃこ
14:59
福田の数学〜慶應義塾大学2025環境情報学部第1問(1)〜一般項にガウス記号を含む数列JiroFukuda Math Channel
12:34
福田の数学〜慶應義塾大学2022年総合政策学部第5問〜等脚台形の外接円の中心の位置ベクトルJiroFukuda Math Channel
13:12
福田の数学〜慶應義塾大学2022年総合政策学部第4問〜折り紙を折ってできる線分、角、面積を求めるJiroFukuda Math Channel

関連用語

倍数の判定法
ガウス記号
整数部分
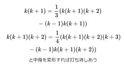
連続整数の積のシグマ
等差数列×等比数列の形の数列