Follow Us!!:

アプリなら、たくさんの便利な機能が無料で使える!
今すぐアプリをダウンロードして、もっと自由に学ぼう!

履歴の確認
お気に入り・フォローの登録
通知の受け取り
ファイルの作成・追加・複製
メモの作成・確認
モチベボードの投稿
App StoreからダウンロードGoogle Playで手に入れよう
運営会社お問い合わせ利用規約プライバシーポリシー
YouTube利用規約

© 2025, okke, Inc.

化学専門塾teppan

酸と塩基⑥ 中性付近のpHについて

次の動画:酸と塩基⑦ 中和反応について

概要

動画投稿日|2015年11月18日

動画の長さ|9:19

化学専門塾「TEPPAN」の安達弘行です。 私の授業に興味を持っていただけた方はこちらで詳しく紹介しています。 (http://www.teppan.co/) この動画では「中性付近のpH計算」について説明します。 「酸をとても希釈した場合、pHはいくつになるのか?」を計算する方法を紹介しています。 この内容は難しいので、以下の点をきちんと復習してからみることをおススメします! 関連動画 ・希釈後の溶液のpH https://youtu.be/YPSOa0xZ9hE ・希釈 https://youtu.be/mA9HbQB2VOM ・pH計算 https://youtu.be/9UvkagwqhVA ・水のイオン積 https://youtu.be/kKQ8KuZMjek ___________________________________________ 動画で使用しているプリント(PDFファイル)をこちらのサイトから販売しています。 購入していただいた方には、こちらからPDFファイルをメールで送らせていただきます。 注意:画面のプルダウンから個別の動画を選択できるようになっていますが、販売は「各単元ごとのセット販売のみ」となっています。 ・化学基礎 https://pro.form-mailer.jp/fms/ccd3b93b107246 ・化学(理論化学) https://pro.form-mailer.jp/fms/6b1a8c40107247 ・化学(有機化学,高分子化合物,無機化学) https://pro.form-mailer.jp/fms/f53ac8ba131401

タグ

#高1#高2#レベル2#酸と塩基#講義

関連動画

12:40
化学平衡⑳ 電離定数の計算2(応用,弱酸の近似不可能な場合のpH)化学専門塾teppan
39:09
68 化学 化学平衡4 対数によるpHの計算高校化学攻略講座
19:43
【高校化学基礎】酸と塩基③④ ~水素イオン濃度とpH・希釈〜かないTeachannel
33:45
【高校化学】酸と塩基②「酸と塩基の強さpH」【理論化学/化学基礎#14】受験メモ山本
10:25
水のイオン積 求め方 pH 平衡定数 高校化学 エンジョイケミストリー 124202ヒロシのエンジョイケミストリー

関連用語

pH
水のイオン積
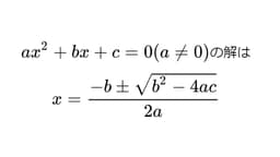
解の公式
判別式
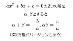
解と係数の関係