Follow Us!!:

アプリなら、たくさんの便利な機能が無料で使える!
今すぐアプリをダウンロードして、もっと自由に学ぼう!

履歴の確認
お気に入り・フォローの登録
通知の受け取り
ファイルの作成・追加・複製
メモの作成・確認
モチベボードの投稿
App StoreからダウンロードGoogle Playで手に入れよう
運営会社お問い合わせ利用規約プライバシーポリシー
YouTube利用規約

© 2025, okke, Inc.

ぶおとこばってん

九州大学2018文系第1問でじっくり学ぶ(微積分/複素数と方程式)

次の動画:九州大学2018理系第1問でじっくり学ぶ (数学IIIC特講・平面上の曲線⑤)

概要

動画投稿日|2020年11月12日

動画の長さ|23:10

ふらっとチャレンジできて、モチベーションを上げるための入試数学解説(1A2B)です。「初見での思考力」「計算の工夫」の訓練に!今日は九州大学2018文系第1問の3次関数の問題です。頻出テーマの解説・okedouの便利な使い方も紹介! 講義ノートはokenaviでダウンロードできます!:https://okenavi.app/post/kyusyu-2018-l1 ★★ 授業動画・公式・学び方について、単元別・レベル別に必要なものを検索できる、勉強アプリ「okke オッケ!」ができました。これから皆さんと進化するので、是非感想など教えてください! 【iPhone / iPad】https://apps.apple.com/jp/app/okke/id1540697607 【Android】https://play.google.com/store/apps/details?id=com.spesden.okke ※okedou / okedic / okenavi の統合版です ※「曲線が接する」「1次式のn乗の導関数」などすぐに検索・確認できます。講義ノートも入っています。 【関連動画】 良問79問目(接することの整理):https://okedou.app/videos/7oyGD1MjIfU 良問88問目(演習):https://okedou.app/videos/JqqF85Y5vYM 北大2020文系第4問(演習):https://okedou.app/videos/FJiM0mTGeqM 1次式のn乗の微積について(古賀さん):https://okedou.app/videos/c10KSoTeDmQ 1次式のn乗の微積について(林さん):https://okedou.app/videos/06ZmE-zjrW8 0:00 問題 0:35 解説(概略) 3:34 解説(詳しい)導入 6:04 解説(詳しい)(1) 9:04 解説(詳しい)(2) 20:54 おまけ ------------------------------------------- 「高2でわかる旧帝大入試数学解説(1A2B)」シリーズ <目的> ①実際の問題で「初見での思考力」「計算の工夫」に慣れる(社会でも役立つ!) ②ふらっとチャレンジできて、モチベーションを上げる ※ここで紹介している解説は,大学が公表したものではありません。難易度も完全に主観です。 ※3日に1本くらいのペースで出しています! ※東大・京大は、尊敬するAKITOさんや古賀真輝さんが、圧倒的なクオリティの動画を出されているので扱いません。このシリーズでは、北大・東北大・名大・阪大・九大の過去問を扱う予定です。 #入試数学 #九大 #3次関数と仲良くなるチャンス シリーズの目的・使い方はこちら:https://okedou.app/videos/d72q1DXwYVU 分野やレベルごとの動画検索はokedouで出来ます:https://okedou.app/ 公式の証明・確認はokedicで:https://okedic.app/ ------------------------------------------- 受験数学1A2Bの定番の良問を独学でも勉強できる「良問演習シリーズ100選」がついに完結しました(数学1A:31問、数学2B:69問)。 解法暗記に頼らないための考え方・論理の筋が通った答案の書き方を、1問の良問に凝縮させてじっくりと解説しています。 良問100選の全リストはこちらです: 数学1A(31問)https://okedou.app/playlist/3e1e2951-32a5-4fa6-881e-81198cb28f7a 数学2B(69問)https://okedou.app/playlist/320755dc-17c4-4154-a0f9-c672c6dba9ba #定番の良問100選 シリーズの目的・使い方はこちら:https://okedou.app/videos/d72q1DXwYVU 分野やレベルごとの動画検索はokedouで出来ます:https://okedou.app/ 公式の証明・確認はokedicで:https://okedic.app/ <良問演習シリーズの目的> ①単元ごとに、誤解しやすい、つまづきやすいポイントを詳しく学ぶ ②記述の答案の書き方に慣れる ➡︎ 上の入試数学解説の土台という位置付けです ------------------------------------------- 高評価やチャンネル登録を頂けるととても嬉しいです。質問も全力で返します。皆さまが勉強しやすくなるように改善していきますので、よろしくお願いします! Twitter(@b_battenn)のフォローも是非よろしくお願いします。 https://twitter.com/b_battenn

タグ

#高3#レベル4#複素数と方程式#積分(数Ⅱ)#演習

関連動画

20:10
【過去問解説】2017年 京大 文系 第1問AKITOの勉強チャンネル
16:59
2016年 京大 文系 第1問【過去問解説】AKITOの勉強チャンネル
19:23
九州大学2020文系第1問でじっくり学ぶ(微積分)ぶおとこばってん
22:31
2019年 一橋大 第3問【過去問解説】AKITOの勉強チャンネル
11:23
大学入試数学解説:東大2017年文系第1問【数学II面積】Masaki Koga [数学解説]

関連用語

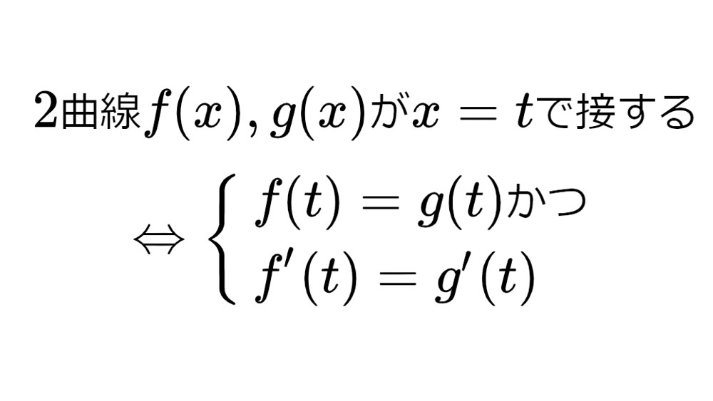
曲線が接する
1次式のn乗の導関数
1次式のn乗の積分
相加相乗平均
因数定理